Официальное опубликование правовых актов
ОФИЦИАЛЬНОЕ ОПУБЛИКОВАНИЕ
Решение Совета депутатов муниципального образования «Агалатовское сельское поселение» Всеволожского муниципального района Ленинградской области от 13.10.2017 № 44
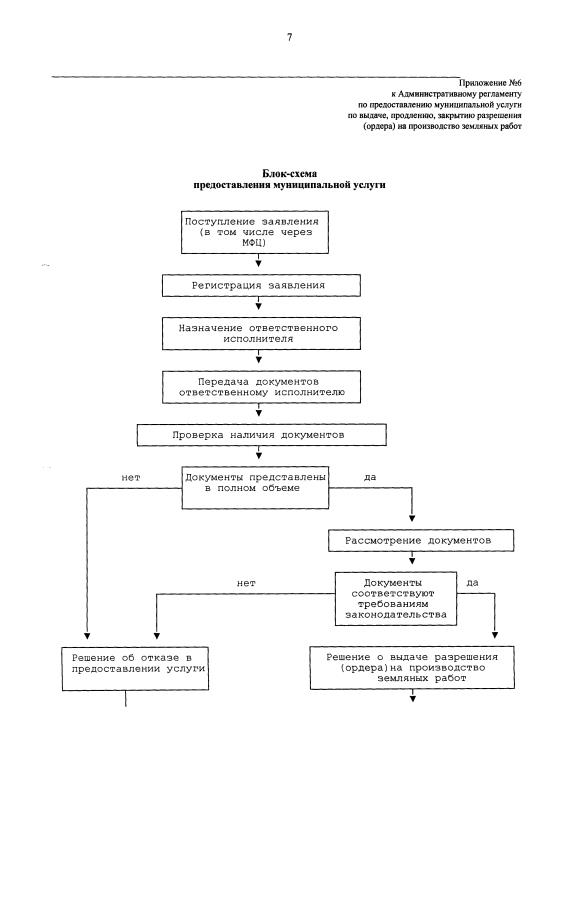
"Об утверждении административного регламента по предоставлению муниципальной услуги "Выдача, продление, закрытие разрешения (ордера) на производство земляных работ" (тестовое опубликование)
Номер опубликования: 4702201711150010
Дата опубликования: 15.11.2017
Страница №26 из 29:
Увеличить