Официальное опубликование правовых актов
ОФИЦИАЛЬНОЕ ОПУБЛИКОВАНИЕ
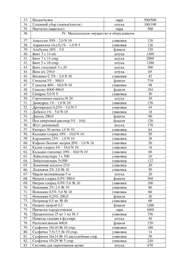
Постановление администрации Липецкой области от 29.10.2015 № 481
"О внесении изменений в постановление администрации Липецкой области от 30 июня 2011 года № 237 "О резервах материальных ресурсов Липецкой области для ликвидации чрезвычайных ситуаций природного и техногенного характера"
Номер опубликования: 4800201511030001
Дата опубликования: 03.11.2015
Страница №3 из 11:
Увеличить