Официальное опубликование правовых актов
ОФИЦИАЛЬНОЕ ОПУБЛИКОВАНИЕ
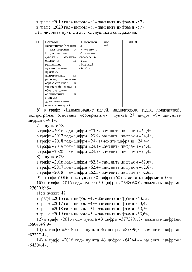
Постановление администрации Липецкой области от 09.08.2016 № 344
"О внесении изменений в постановление администрации Липецкой области от 29 ноября 2013 года № 534 "Об утверждении государственной программы Липецкой области "Развитие образования Липецкой области"
Номер опубликования: 4800201608120005
Дата опубликования: 12.08.2016
Страница №6 из 8:
Увеличить