Официальное опубликование правовых актов
ОФИЦИАЛЬНОЕ ОПУБЛИКОВАНИЕ
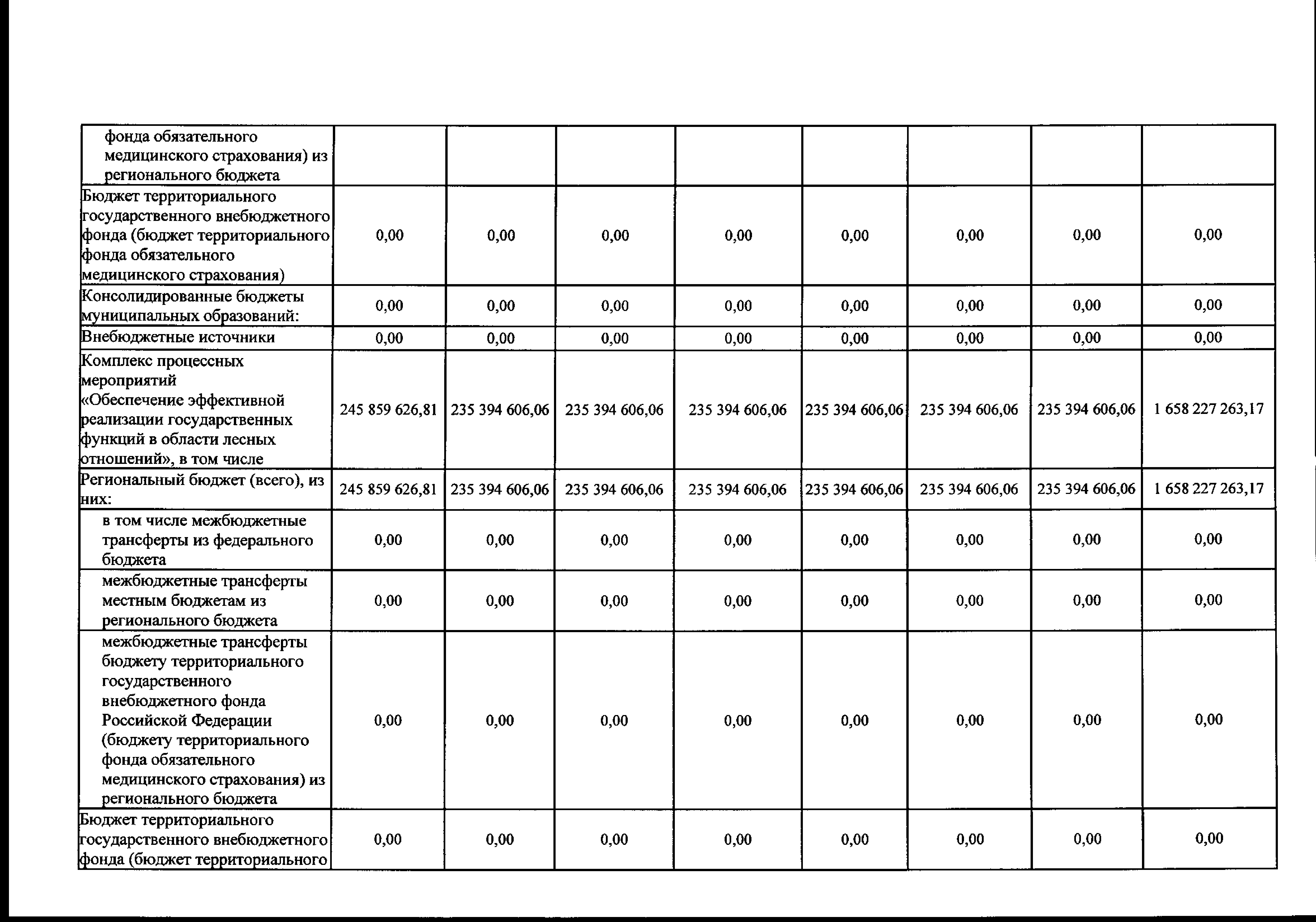
Постановление Правительства Липецкой области от 19.09.2024 № 541
"О внесении изменения в постановление Правительства Липецкой области от 7 декабря 2023 года № 694 "Об утверждении государственной программы Липецкой области "Развитие лесного хозяйства в Липецкой области"
Номер опубликования: 4800202409240001
Дата опубликования: 24.09.2024
Страница №19 из 23: