Официальное опубликование правовых актов
ОФИЦИАЛЬНОЕ ОПУБЛИКОВАНИЕ
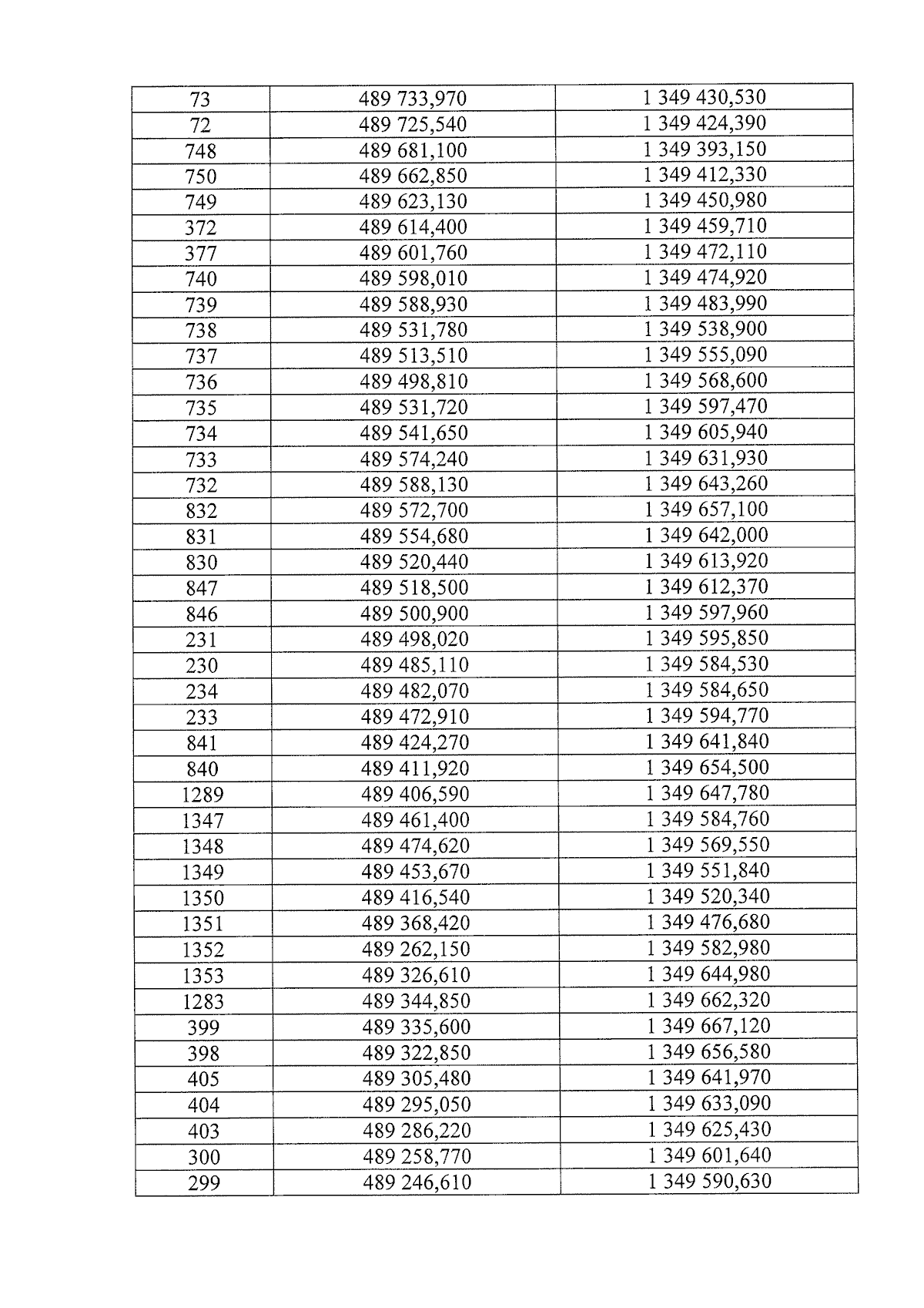
Постановление Правительства Липецкой области от 15.01.2025 № 34
"Об установлении границ объединенной зоны охраны объектов культурного наследия г. Чаплыгин и утверждении требований к градостроительным регламентам в границах территории данной зоны"
Номер опубликования: 4800202501200002
Дата опубликования: 20.01.2025
Страница №117 из 148:
Увеличить