Официальное опубликование правовых актов
ОФИЦИАЛЬНОЕ ОПУБЛИКОВАНИЕ
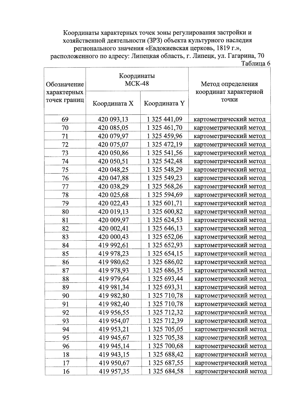
Постановление Правительства Липецкой области от 21.03.2025 № 143
"Об установлении границ зон охраны объекта культурного наследия регионального значения "Евдокиевская церковь, 1819 г.", расположенного по адресу: Липецкая область, г. Липецк, ул. Гагарина, 70, и утверждении требований к градостроительным регламентам в границах территорий данных зон"
Номер опубликования: 4800202503250012
Дата опубликования: 25.03.2025
Страница №15 из 21:
Увеличить