Официальное опубликование правовых актов
ОФИЦИАЛЬНОЕ ОПУБЛИКОВАНИЕ
Постановление Правительства Липецкой области от 24.04.2025 № 231
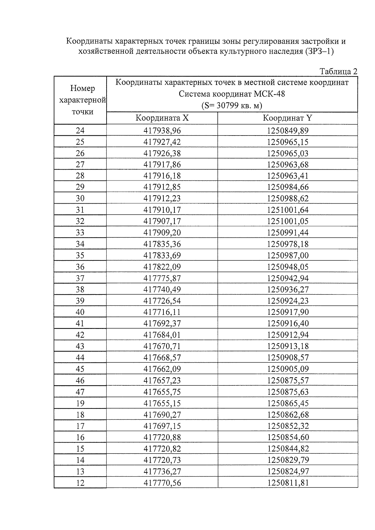
"Об установлении границ зон охраны объекта культурного наследия регионального значения "Комплекс мукомольного завода", середина ХIХ — II половина ХIХ в., расположенного по адресу: Липецкая область, г. Елец, ул. Октябрьская, д. 5, и утверждении требований к градостроительным регламентам в границах территорий данных зон"
Номер опубликования: 4800202504280002
Дата опубликования: 28.04.2025
Страница №7 из 14:
Увеличить