Официальное опубликование правовых актов
ОФИЦИАЛЬНОЕ ОПУБЛИКОВАНИЕ
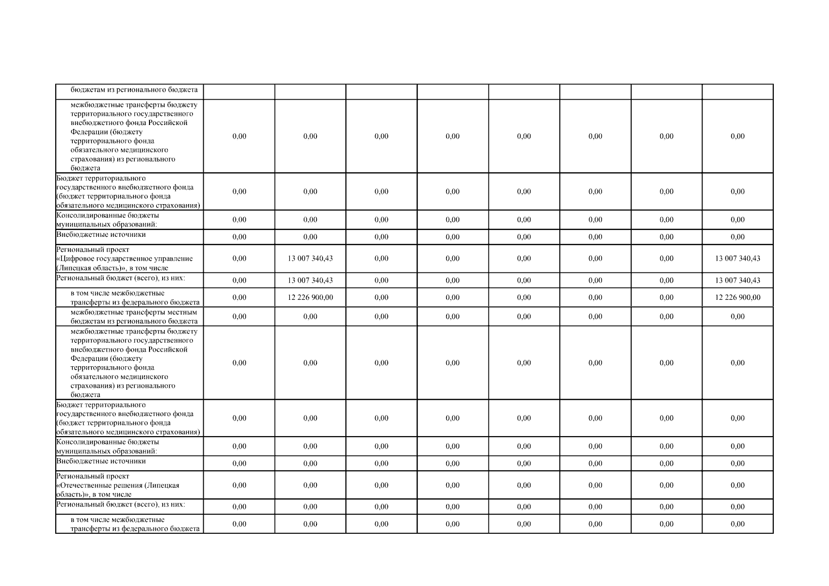
Постановление Правительства Липецкой области от 28.05.2025 № 285
"О внесении изменений в постановление Правительства Липецкой области от 26 декабря 2023 года № 781 "Об утверждении государственной программы Липецкой области "Эффективное государственное управление и развитие муниципальной службы Липецкой области"
Номер опубликования: 4800202505300007
Дата опубликования: 30.05.2025
Страница №16 из 42:
Увеличить