Официальное опубликование правовых актов
ОФИЦИАЛЬНОЕ ОПУБЛИКОВАНИЕ
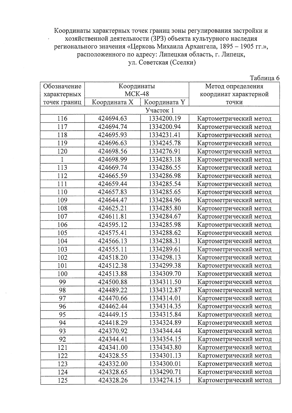
Постановление Правительства Липецкой области от 11.06.2025 № 304
"Об установлении границ зон охраны объекта культурного наследия регионального значения "Церковь Михаила Архангела, 1895-1905 гг.", расположенного по адресу: Липецкая область, г. Липецк, ул. Советская (Сселки), и утверждении требований к градостроительным регламентам в границах территорий данных зон"
Номер опубликования: 4800202506160004
Дата опубликования: 16.06.2025
Страница №18 из 25:
Увеличить