Официальное опубликование правовых актов
ОФИЦИАЛЬНОЕ ОПУБЛИКОВАНИЕ
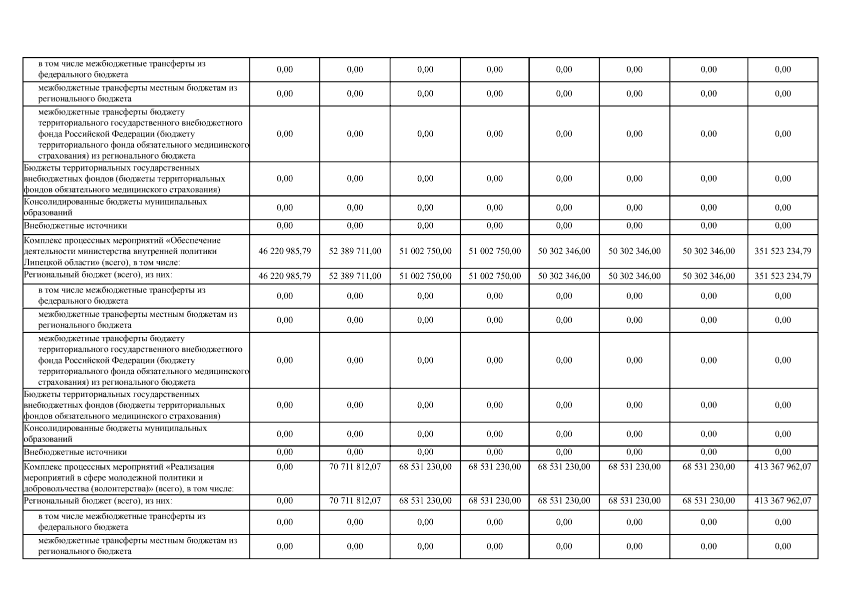
Постановление Правительства Липецкой области от 27.08.2025 № 428 "О внесении изменений в постановление Правительства Липецкой области от 8 декабря 2023 года № 700 "Об утверждении государственной программы Липецкой области "Реализация внутренней политики Липецкой области"
Номер опубликования: 4800202508290005
Дата опубликования: 29.08.2025
Страница №12 из 13:
Увеличить