Официальное опубликование правовых актов
ОФИЦИАЛЬНОЕ ОПУБЛИКОВАНИЕ
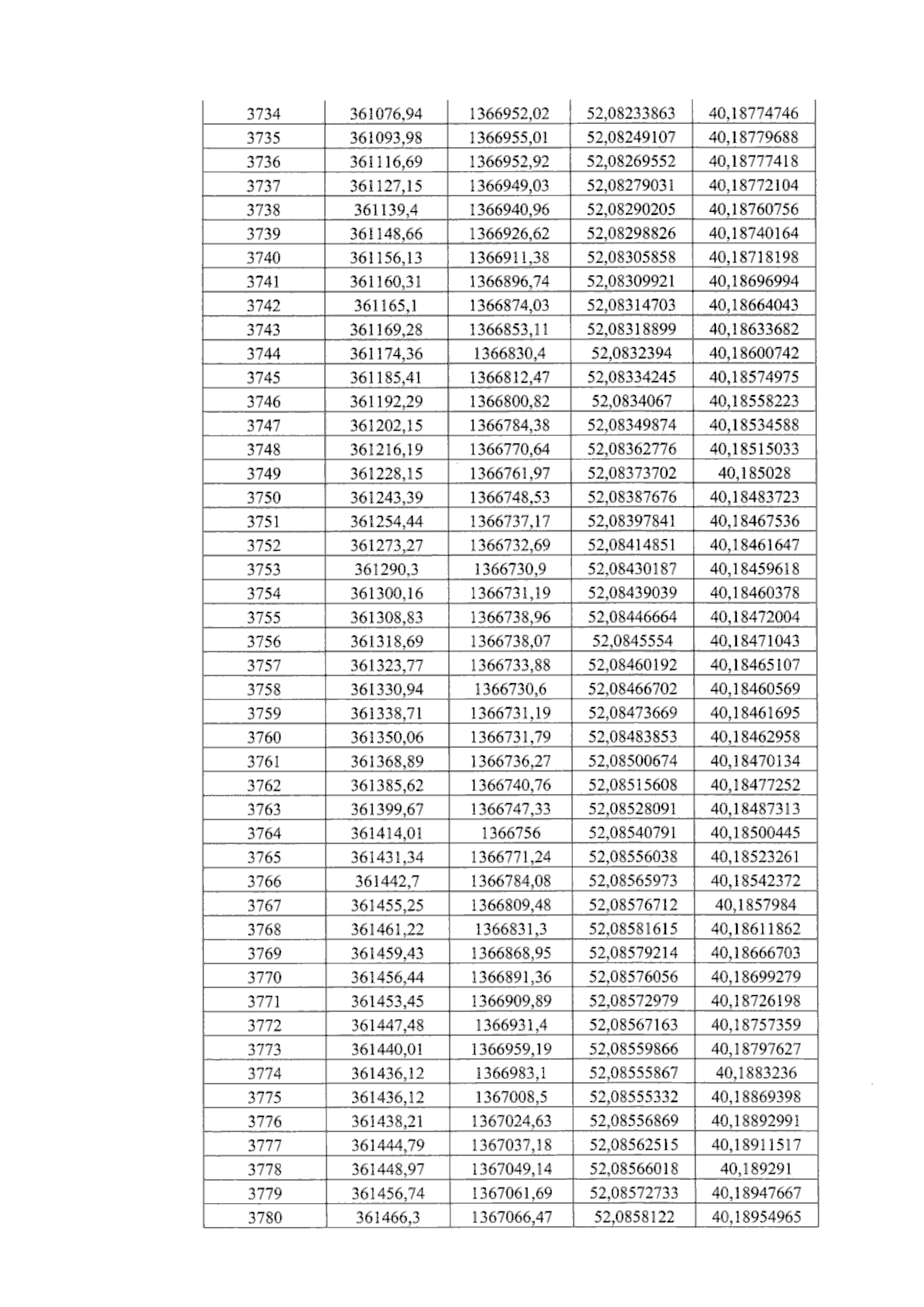
Постановление Правительства Липецкой области от 24.09.2025 № 466
"Об установлении местоположения береговой линии (границы водного объекта), границы водоохранных зон и границы прибрежных защитных полос рек Матренка, Чичора"
Номер опубликования: 4800202509290021
Дата опубликования: 29.09.2025
Страница №83 из 924:
Увеличить