Официальное опубликование правовых актов
ОФИЦИАЛЬНОЕ ОПУБЛИКОВАНИЕ
Постановление Правительства Липецкой области от 25.09.2025 № 480
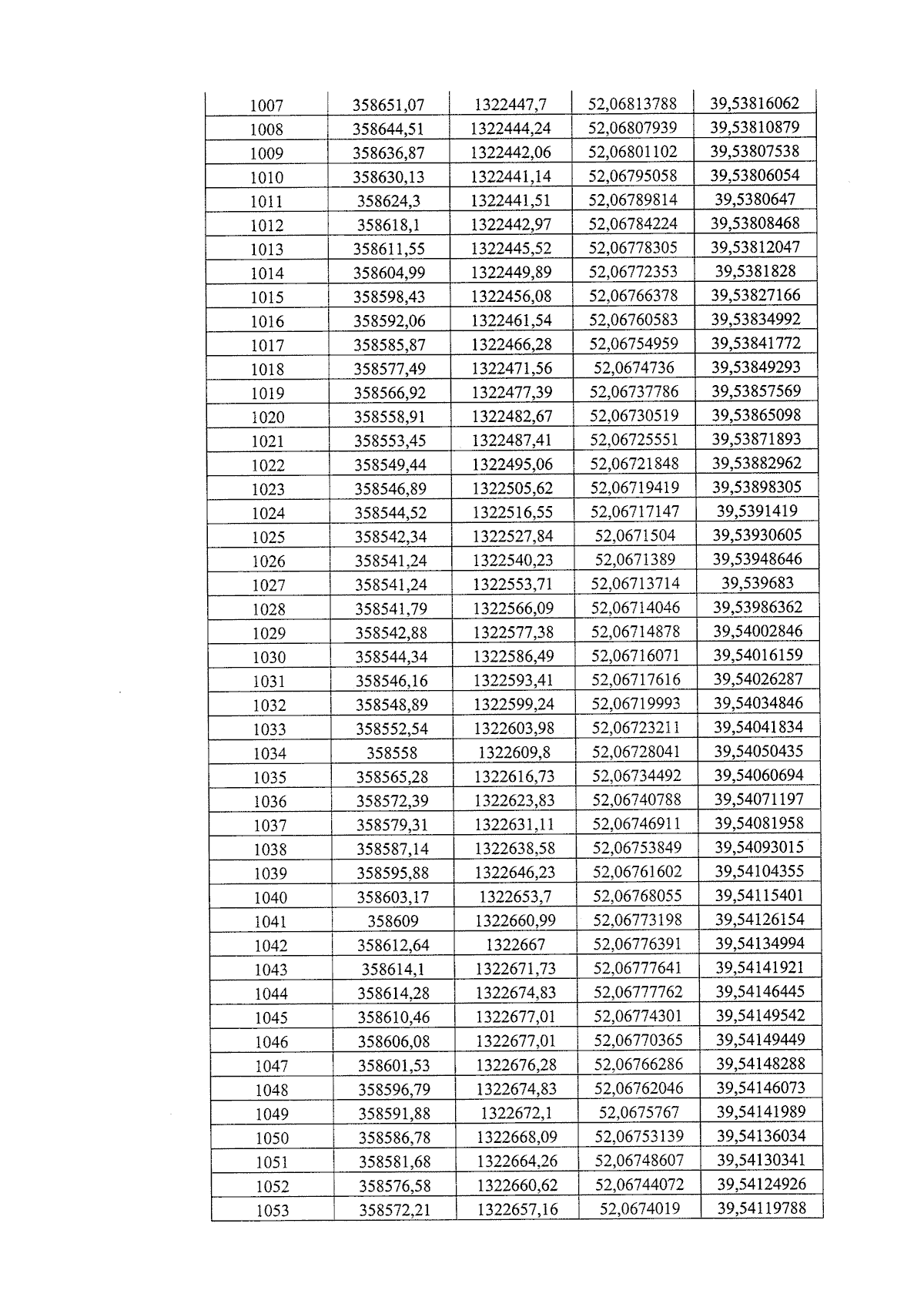
"Об установлении местоположения береговой линии (границы водного объекта), границы водоохранных зон и границы прибрежных защитных полос реки Полевая Излегоща"
Номер опубликования: 4800202509290039
Дата опубликования: 29.09.2025
Страница №25 из 757:
Увеличить