Официальное опубликование правовых актов
ОФИЦИАЛЬНОЕ ОПУБЛИКОВАНИЕ
Постановление Правительства Липецкой области от 29.10.2025 № 535
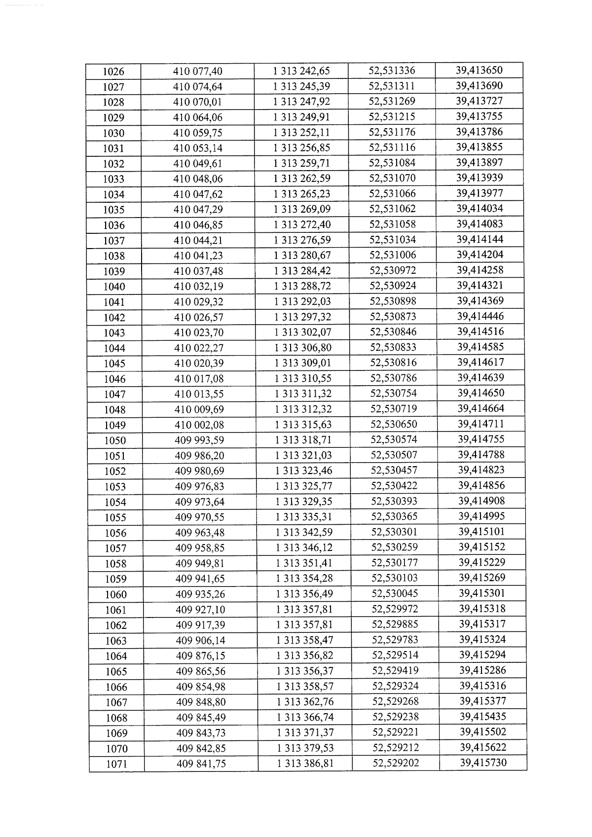
"Об установлении местоположения береговой линии (границы водного объекта), границы водоохранных зон и границы прибрежных защитных полос рек Белоколодец, Байгора, водохранилища на р. Белоколодец, пруда на б. Белоколодец"
Номер опубликования: 4800202510290005
Дата опубликования: 29.10.2025
Страница №27 из 878:
Увеличить