Официальное опубликование правовых актов
ОФИЦИАЛЬНОЕ ОПУБЛИКОВАНИЕ
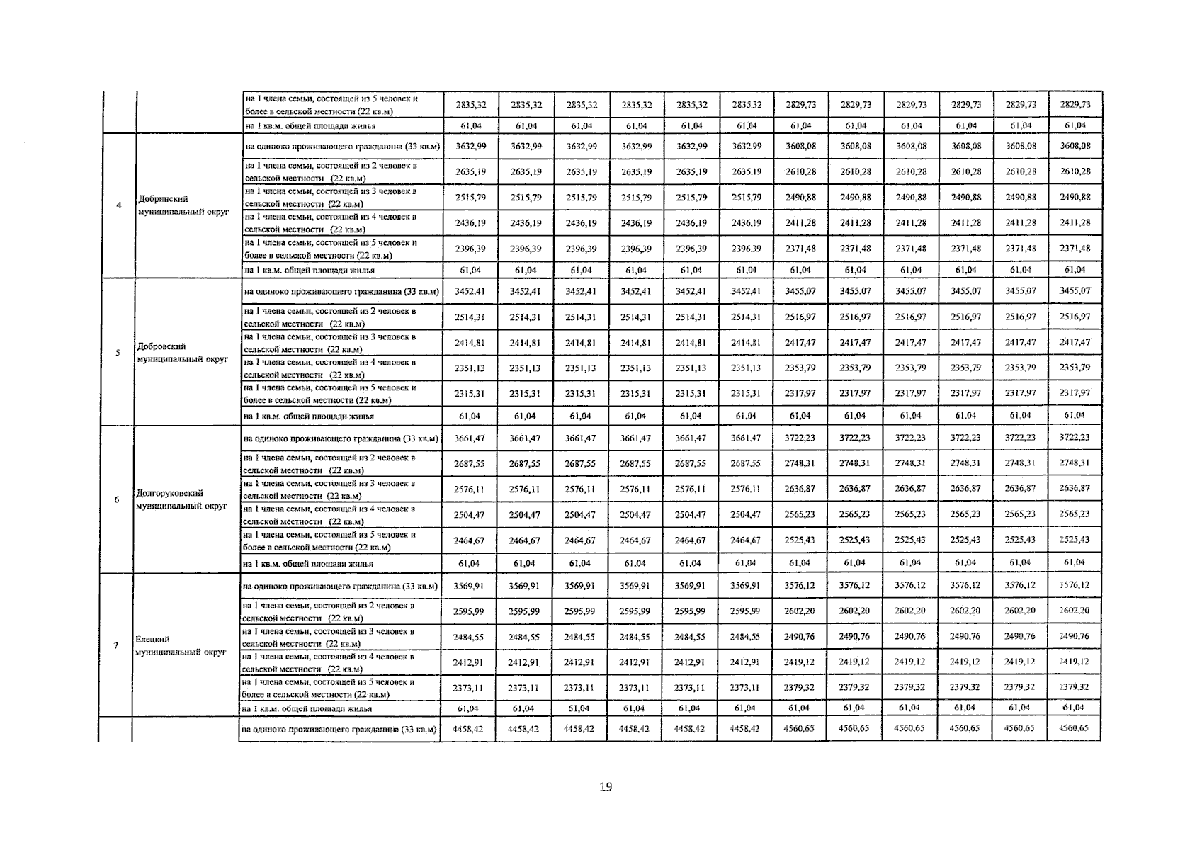
Постановление Липецкого областного Совета депутатов от 11.12.2025 № 2035-пс "Об установлении размеров региональных стандартов стоимости жилищно-коммунальных услуг в Липецкой области на 2026 год"
Номер опубликования: 4800202512150008
Дата опубликования: 15.12.2025
Страница №19 из 24:
Увеличить