Официальное опубликование правовых актов
ОФИЦИАЛЬНОЕ ОПУБЛИКОВАНИЕ
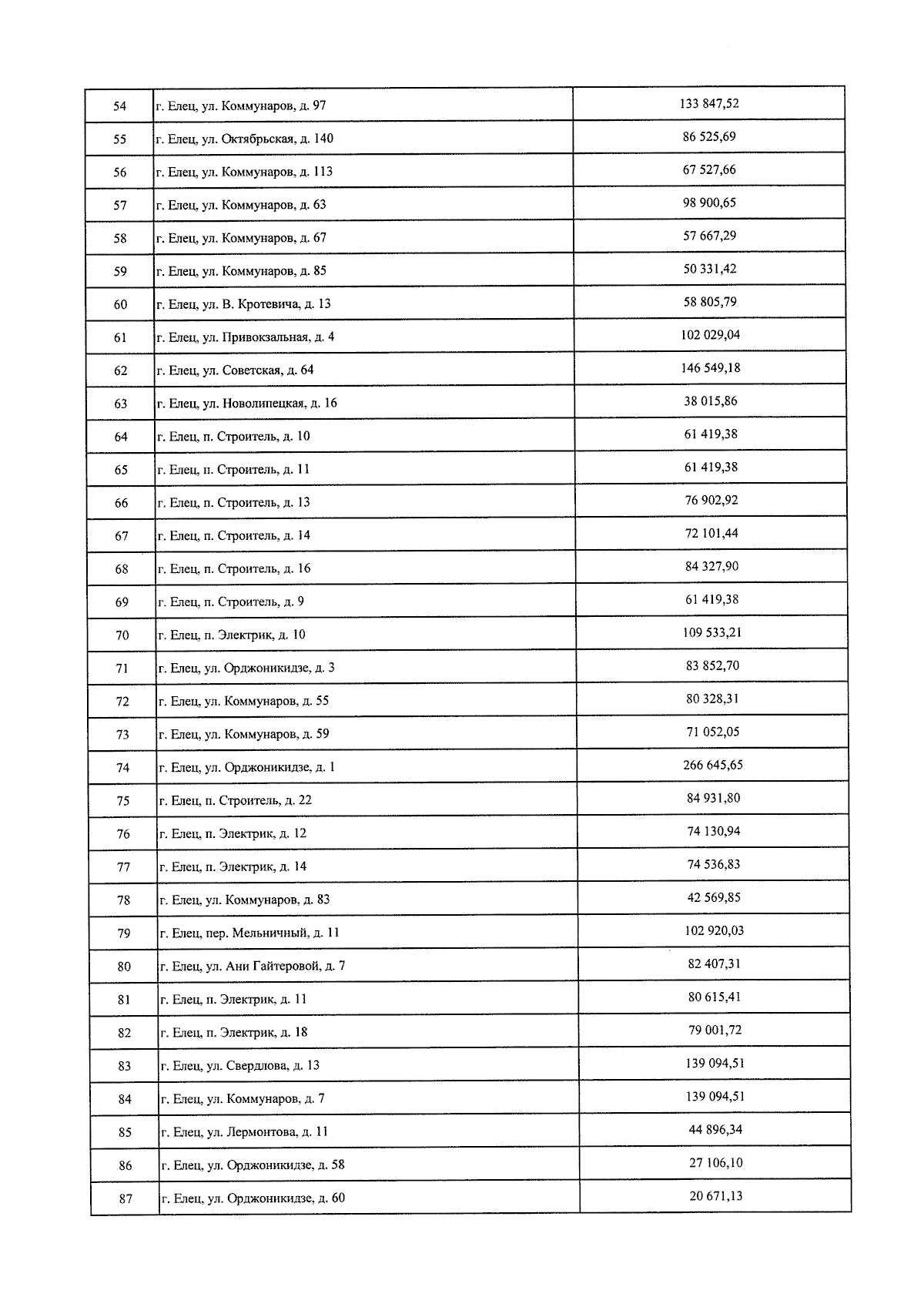
Постановление Правительства Липецкой области от 15.12.2025 № 621
"О внесении изменения в постановление Правительства Липецкой области от 9 марта 2023 года № 111 "Об утверждении краткосрочного плана реализации областной программы капитального ремонта общего имущества в многоквартирных домах на 2023 — 2025 годы"
Номер опубликования: 4800202512160001
Дата опубликования: 16.12.2025
Страница №59 из 66:
Увеличить