Официальное опубликование правовых актов
ОФИЦИАЛЬНОЕ ОПУБЛИКОВАНИЕ
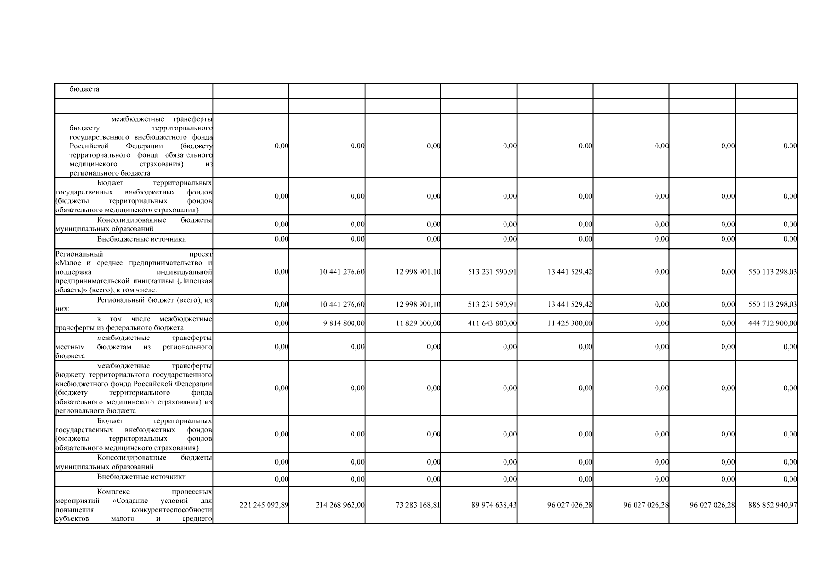
Постановление Правительства Липецкой области от 19.01.2026 № 8 "О внесении изменений в постановление Правительства Липецкой области от 21 декабря 2023 года № 744 "Об утверждении государственной программы Липецкой области "Развитие малого и среднего предпринимательства Липецкой области"
Номер опубликования: 4800202601200002
Дата опубликования: 20.01.2026
Страница №12 из 14:
Увеличить