Официальное опубликование правовых актов
ОФИЦИАЛЬНОЕ ОПУБЛИКОВАНИЕ
Постановление Правительства Липецкой области от 04.02.2026 № 33
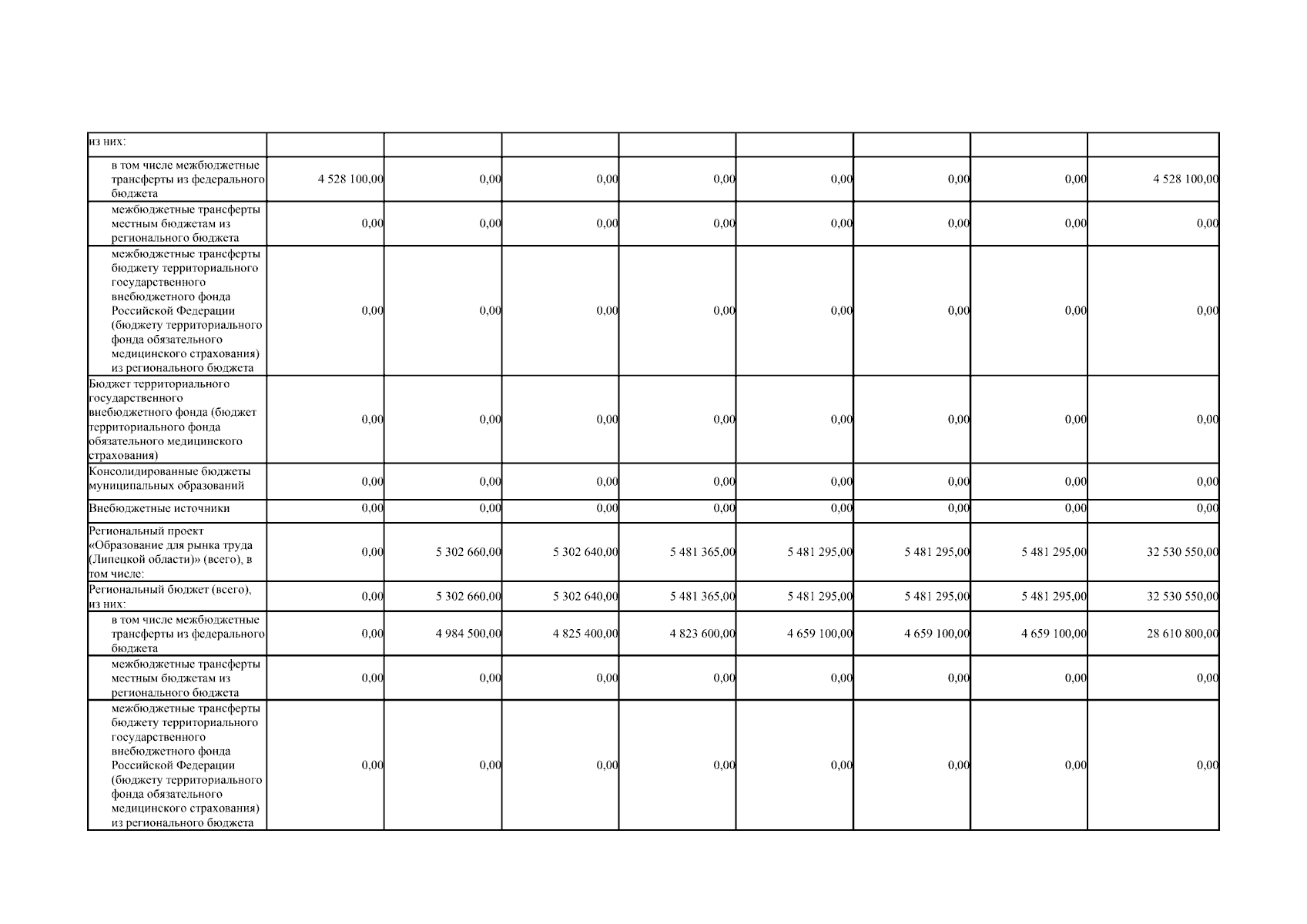
"О внесении изменений в постановление Правительства Липецкой области от 26 декабря 2023 года № 786 "Об утверждении государственной программы Липецкой области "Развитие рынка труда и содействие занятости населения в Липецкой области"
Номер опубликования: 4800202602060003
Дата опубликования: 06.02.2026
Страница №3 из 11:
Увеличить