Официальное опубликование правовых актов
ОФИЦИАЛЬНОЕ ОПУБЛИКОВАНИЕ
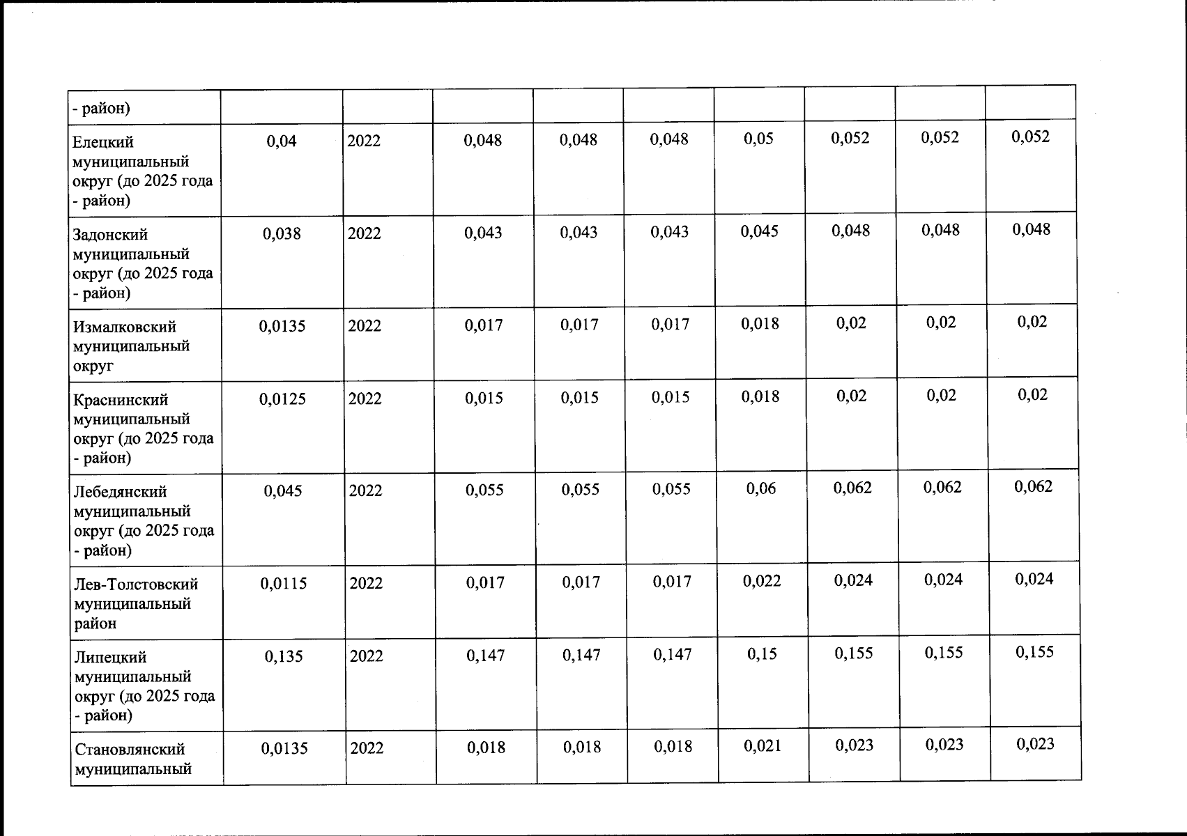
Постановление Правительства Липецкой области от 31.03.2026 № 180
"О внесении изменений в постановление Правительства Липецкой области от 8 декабря 2023 года № 702 "Об утверждении государственной программы Липецкой области "Обеспечение жителей Липецкой области качественным жильем, социальной и инженерной инфраструктурой"
Номер опубликования: 4800202604010003
Дата опубликования: 01.04.2026
Страница №32 из 73: