Официальное опубликование правовых актов
ОФИЦИАЛЬНОЕ ОПУБЛИКОВАНИЕ
Постановление Правительства Липецкой области от 07.04.2026 № 199
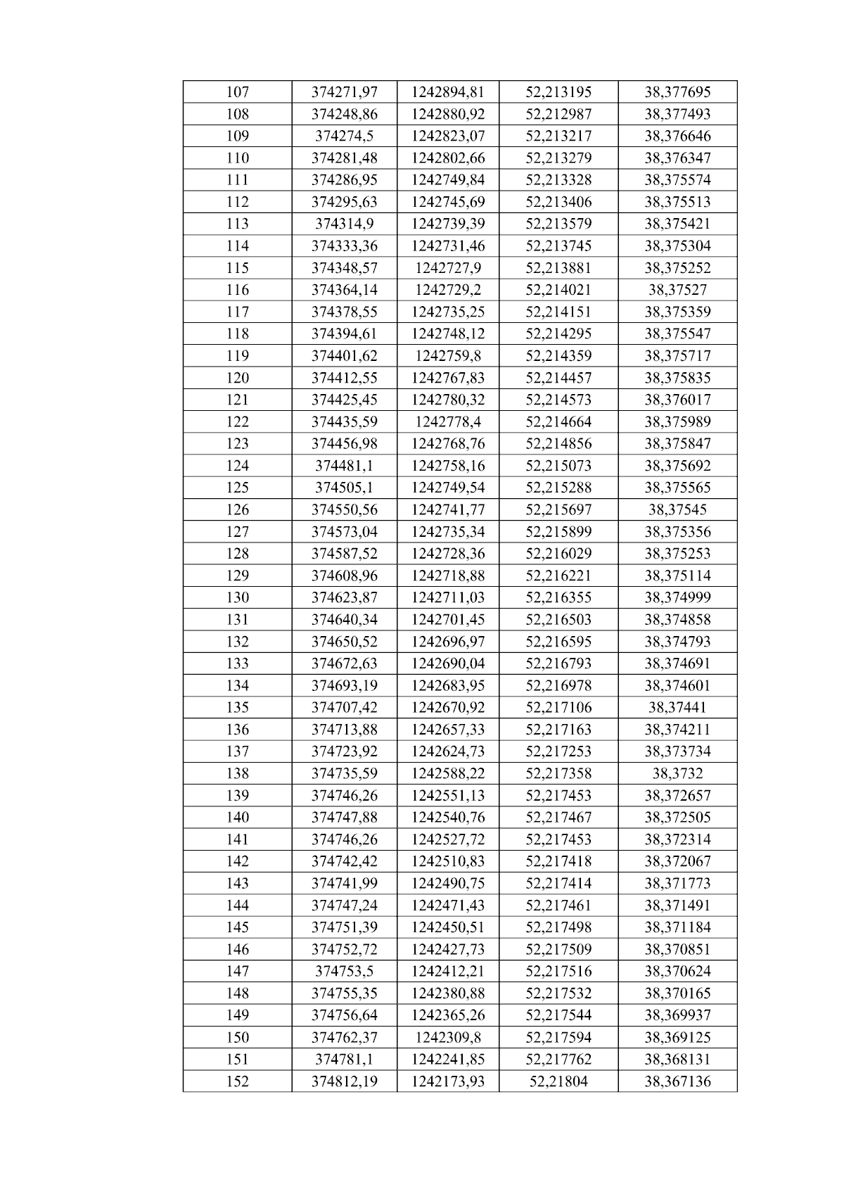
"Об установлении местоположения береговой линии (границы водного объекта), границы водоохранных зон и границы прибрежных защитных полос рек Изубриевка, Кобылья Снова, водохранилища на р. Кобылья Снова, пруда на реке Кобылья Снова, пруда на р. Изубриевка, пруда на б. Козий Верх"
Номер опубликования: 4800202604090001
Дата опубликования: 09.04.2026
Страница №705 из 709:
Увеличить