Официальное опубликование правовых актов
ОФИЦИАЛЬНОЕ ОПУБЛИКОВАНИЕ
Постановление Правительства Липецкой области от 07.04.2026 № 200
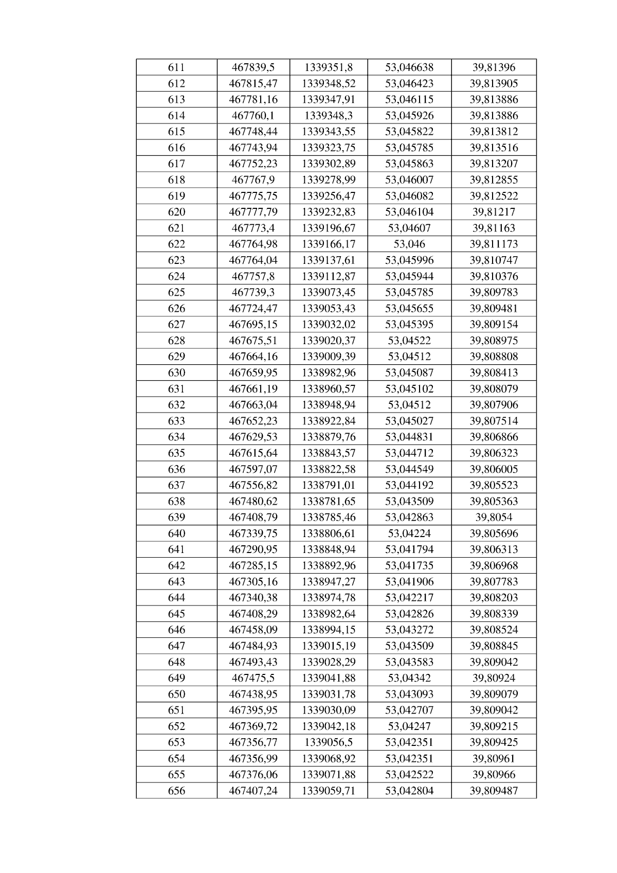
"Об установлении местоположения береговой линии (границы водного объекта), границы водоохранных зон и границы прибрежных защитных полос рек Голая Снова, Делиховка, Лух (руч. Лух), водохранилища на р. Делиховка, пруда на б. Омшище, пруда в н. п. Новинка"
Номер опубликования: 4800202604090005
Дата опубликования: 09.04.2026
Страница №560 из 591:
Увеличить