Официальное опубликование правовых актов
ОФИЦИАЛЬНОЕ ОПУБЛИКОВАНИЕ
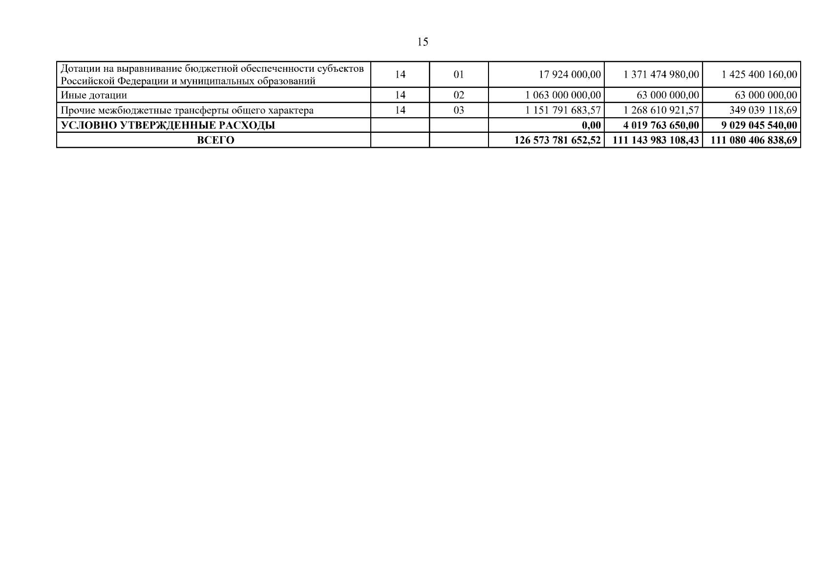
Закон Липецкой области от 16.04.2026 № 781-ОЗ
"О внесении изменений в Закон Липецкой области "Об областном бюджете на 2026 год и на плановый период 2027 и 2028 годов"
Номер опубликования: 4800202604170004
Дата опубликования: 17.04.2026
Страница №15 из 717:
Увеличить