Официальное опубликование правовых актов
ОФИЦИАЛЬНОЕ ОПУБЛИКОВАНИЕ
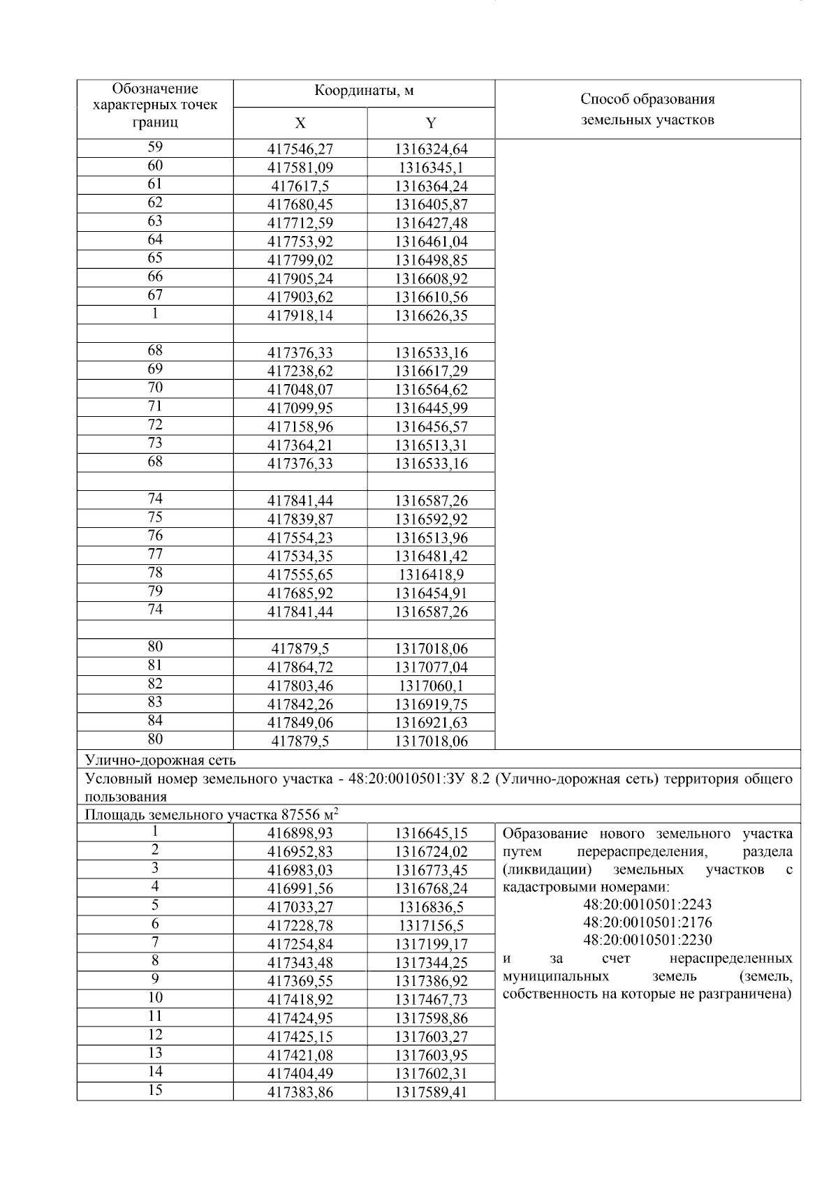
Приказ управления строительства и архитектуры Липецкой области от 20.11.2024 № 430
"Об утверждении проекта изменений в документацию по планировке территории (проект планировки и проект межевания) зоны делового, общественного и коммунально-складского назначения в районе автомобильной дороги Орел-Тамбов и Елецкого шоссе в городе Липецке"
Номер опубликования: 4801202411250010
Дата опубликования: 25.11.2024
Страница №19 из 26:
Увеличить