Официальное опубликование правовых актов
ОФИЦИАЛЬНОЕ ОПУБЛИКОВАНИЕ
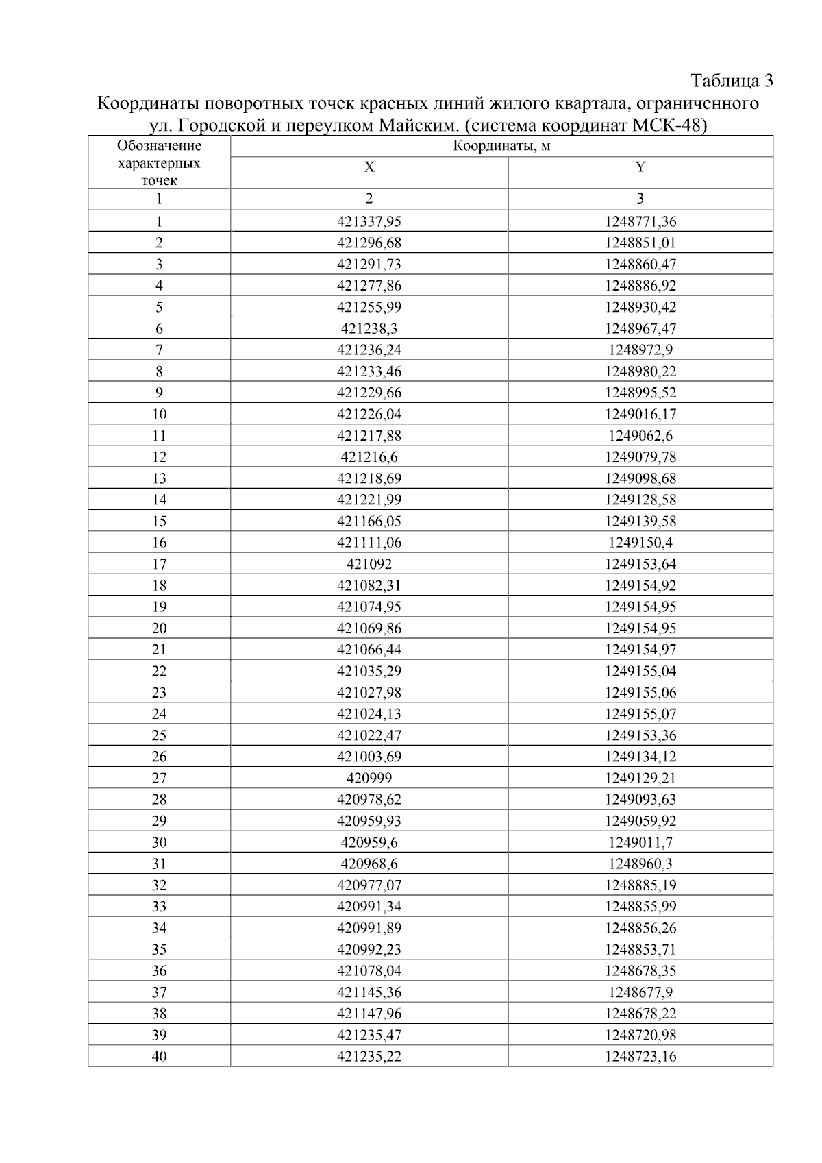
Приказ управления строительства и архитектуры Липецкой области от 27.11.2024 № 434
"Об утверждении документации по планировке территории (проект планировки и проект межевания) микрорайона "Александровский" в районе улицы Городская и переулка Майский в городском округе город Елец"
Номер опубликования: 4801202411280019
Дата опубликования: 28.11.2024
Страница №39 из 42:
Увеличить