Официальное опубликование правовых актов
ОФИЦИАЛЬНОЕ ОПУБЛИКОВАНИЕ
Приказ управления строительства и архитектуры Липецкой области от 03.12.2024 № 463
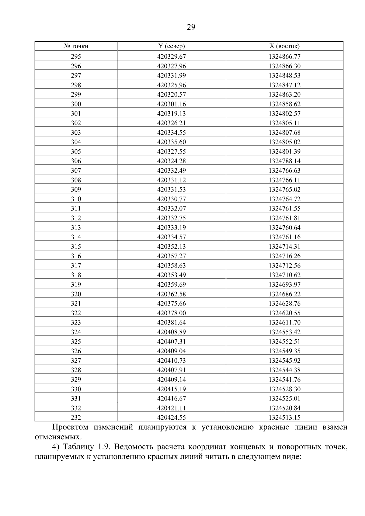
"Об утверждении проекта изменений в документацию по планировке территории (проект планировки и проект межевания), ограниченной улицами Гагарина, Балмочных, Вавилова в городе Липецке, в части кварталов 2, 5, микрорайона 1/2"
Номер опубликования: 4801202412050006
Дата опубликования: 05.12.2024
Страница №31 из 74:
Увеличить