Официальное опубликование правовых актов
ОФИЦИАЛЬНОЕ ОПУБЛИКОВАНИЕ
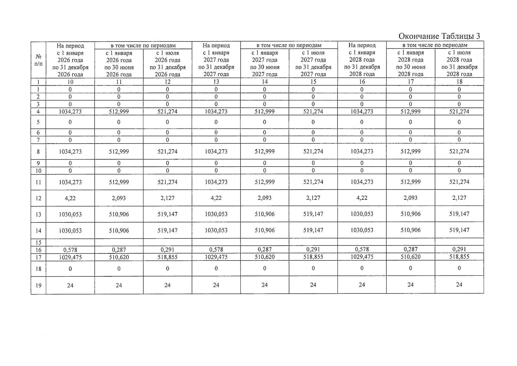
Постановление управления энергетики и тарифов Липецкой области от 09.12.2024 № 60/2
"О внесении изменений в постановление управления энергетики и тарифов Липецкой области от 15 декабря 2023 года № 65/36 "О тарифах на питьевую воду и долгосрочных параметрах регулирования АО "ОЭЗ ППТ "Липецк" (ИНН 4826052440) на 2024-2028 годы"
(Зарегистрирован 11.12.2024 № ГР-295)
Номер опубликования: 4801202412120005
Дата опубликования: 12.12.2024
Страница №5 из 10:
Увеличить