Официальное опубликование правовых актов
ОФИЦИАЛЬНОЕ ОПУБЛИКОВАНИЕ
Приказ министерства жилищно-коммунального хозяйства Липецкой области от 06.05.2025 № 01-03/516
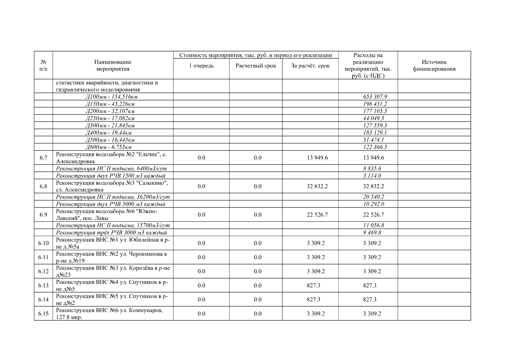
"О внесении изменений в приказ управления жилищно-коммунального хозяйства Липецкой области от 24 октября 2023 года № 01-03/790 "Об утверждении схем водоснабжения и водоотведения городского округа город Елец Липецкой области"
Номер опубликования: 4801202505070002
Дата опубликования: 07.05.2025
Страница №15 из 21:
Увеличить