Официальное опубликование правовых актов
ОФИЦИАЛЬНОЕ ОПУБЛИКОВАНИЕ
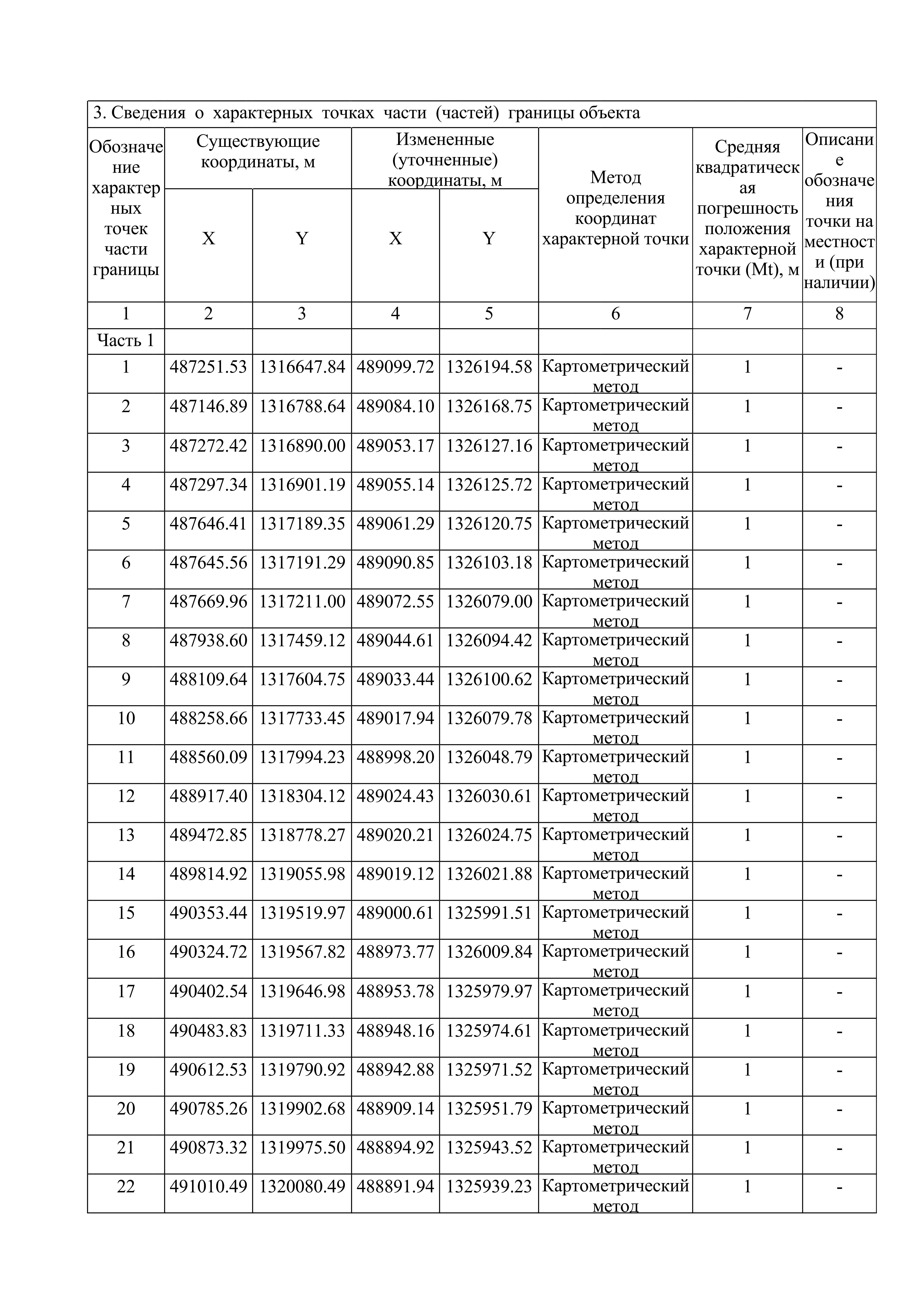
Приказ министерства строительства и архитектуры Липецкой области от 12.05.2025 № 188
"О внесении изменений в приказ управления строительства и архитектуры Липецкой области от 11 июля 2023 года № 183 "О принятии решения об утверждении правил землепользования и застройки сельского поселения Новочемодановский сельсовет Лев-Толстовского муниципального района Липецкой области"
Номер опубликования: 4801202505210004
Дата опубликования: 21.05.2025
Страница №88 из 164: