Официальное опубликование правовых актов
ОФИЦИАЛЬНОЕ ОПУБЛИКОВАНИЕ
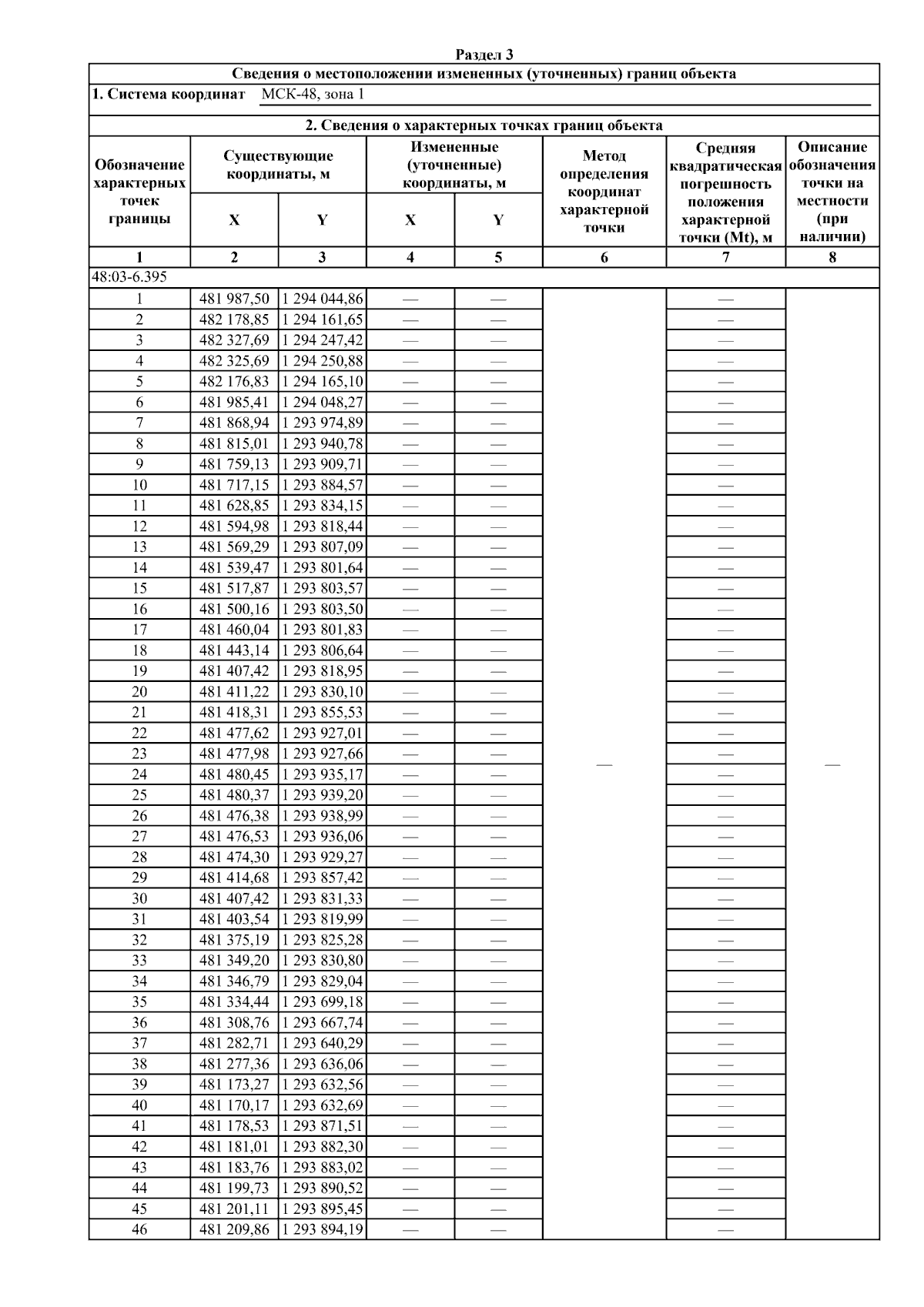
Постановление министерства энергетики и тарифов Липецкой области от 28.05.2025 № 34-НПА
"О внесении изменения в постановление управления энергетики и тарифов Липецкой области от 20 февраля 2017 года № 5 "Об утверждении границ охранной зоны газораспределительной сети"
Номер опубликования: 4801202505300028
Дата опубликования: 30.05.2025
Страница №4 из 23:
Увеличить