Официальное опубликование правовых актов
ОФИЦИАЛЬНОЕ ОПУБЛИКОВАНИЕ
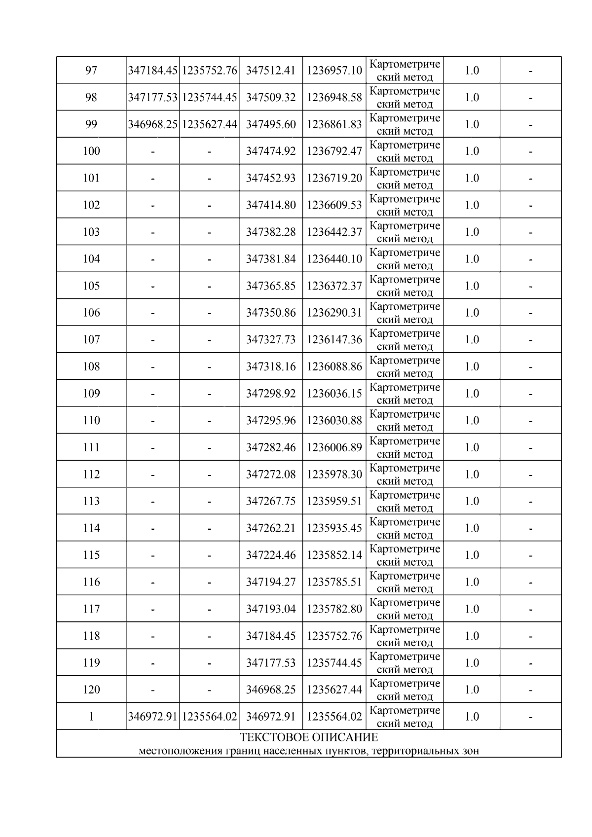
Приказ министерства строительства и архитектуры Липецкой области от 28.05.2025 № 231
"О принятии решения об утверждении генерального плана сельского поселения Березовский сельсовет Тербунского муниципального района Липецкой области"
Номер опубликования: 4801202505300031
Дата опубликования: 30.05.2025
Страница №32 из 58:
Увеличить