Официальное опубликование правовых актов
ОФИЦИАЛЬНОЕ ОПУБЛИКОВАНИЕ
Приказ министерства строительства и архитектуры Липецкой области от 03.06.2025 № 242
"О внесении изменений в приказ управления строительства и архитектуры Липецкой области от 2 февраля 2024 года № 34 "О принятии решения об утверждении правил землепользования и застройки сельского поселения Скорняковский сельсовет Задонского муниципального района Липецкой области"
Номер опубликования: 4801202506090004
Дата опубликования: 09.06.2025
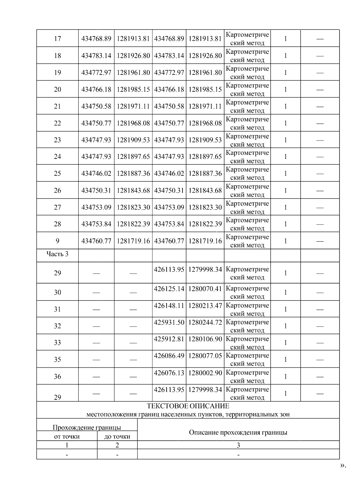
Страница №72 из 77:
Увеличить