Официальное опубликование правовых актов
ОФИЦИАЛЬНОЕ ОПУБЛИКОВАНИЕ
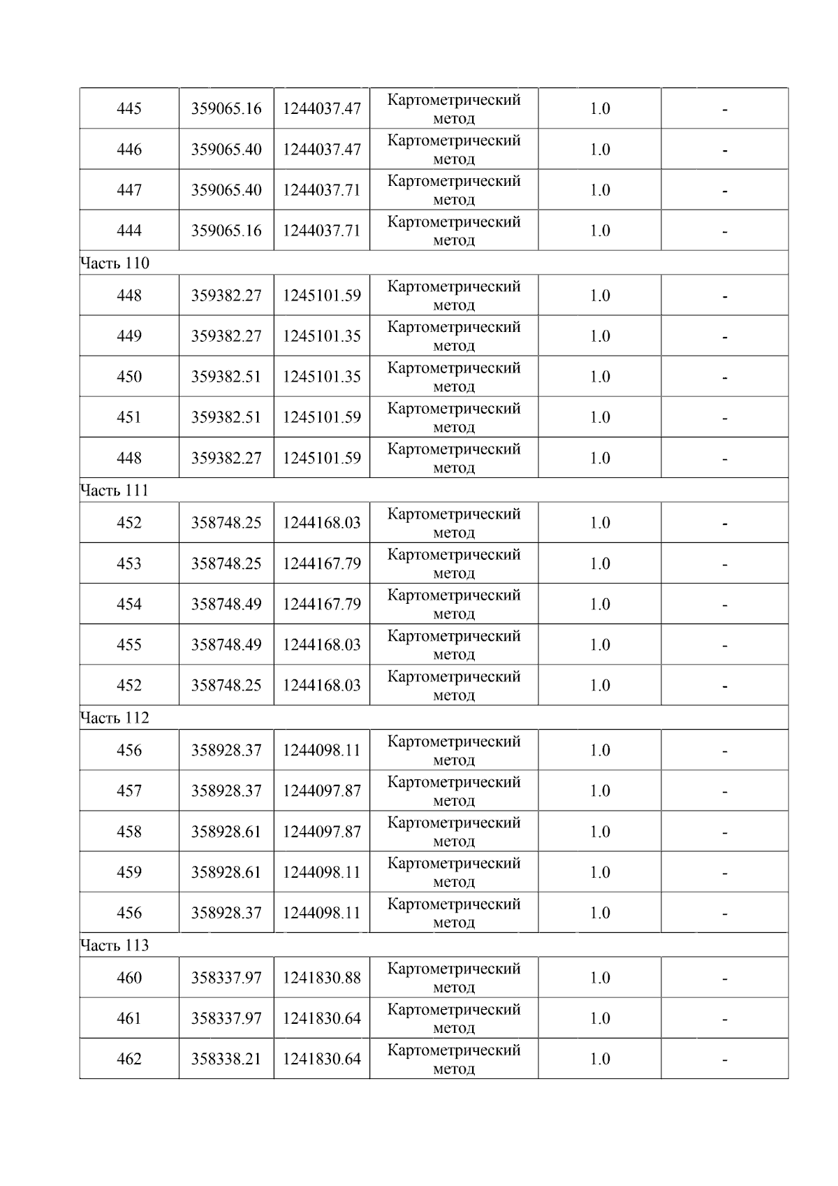
Приказ министерства строительства и архитектуры Липецкой области от 05.06.2025 № 244
"О принятии решения об утверждении правил землепользования и застройки сельского поселения Казинский сельсовет Тербунского муниципального района Липецкой области"
Номер опубликования: 4801202506100012
Дата опубликования: 10.06.2025
Страница №408 из 435:
Увеличить