Официальное опубликование правовых актов
ОФИЦИАЛЬНОЕ ОПУБЛИКОВАНИЕ
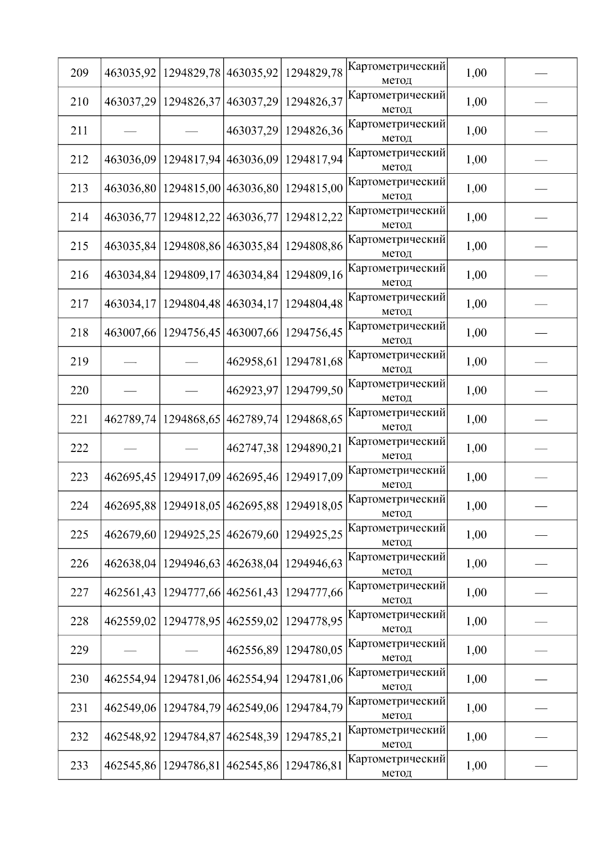
Приказ министерства строительства и архитектуры Липецкой области от 05.09.2025 № 397
"О принятии решения об утверждении генерального плана городского поселения город Лебедянь Лебедянского муниципального района Липецкой области"
Номер опубликования: 4801202509090001
Дата опубликования: 09.09.2025
Страница №32 из 52:
Увеличить