Официальное опубликование правовых актов
ОФИЦИАЛЬНОЕ ОПУБЛИКОВАНИЕ
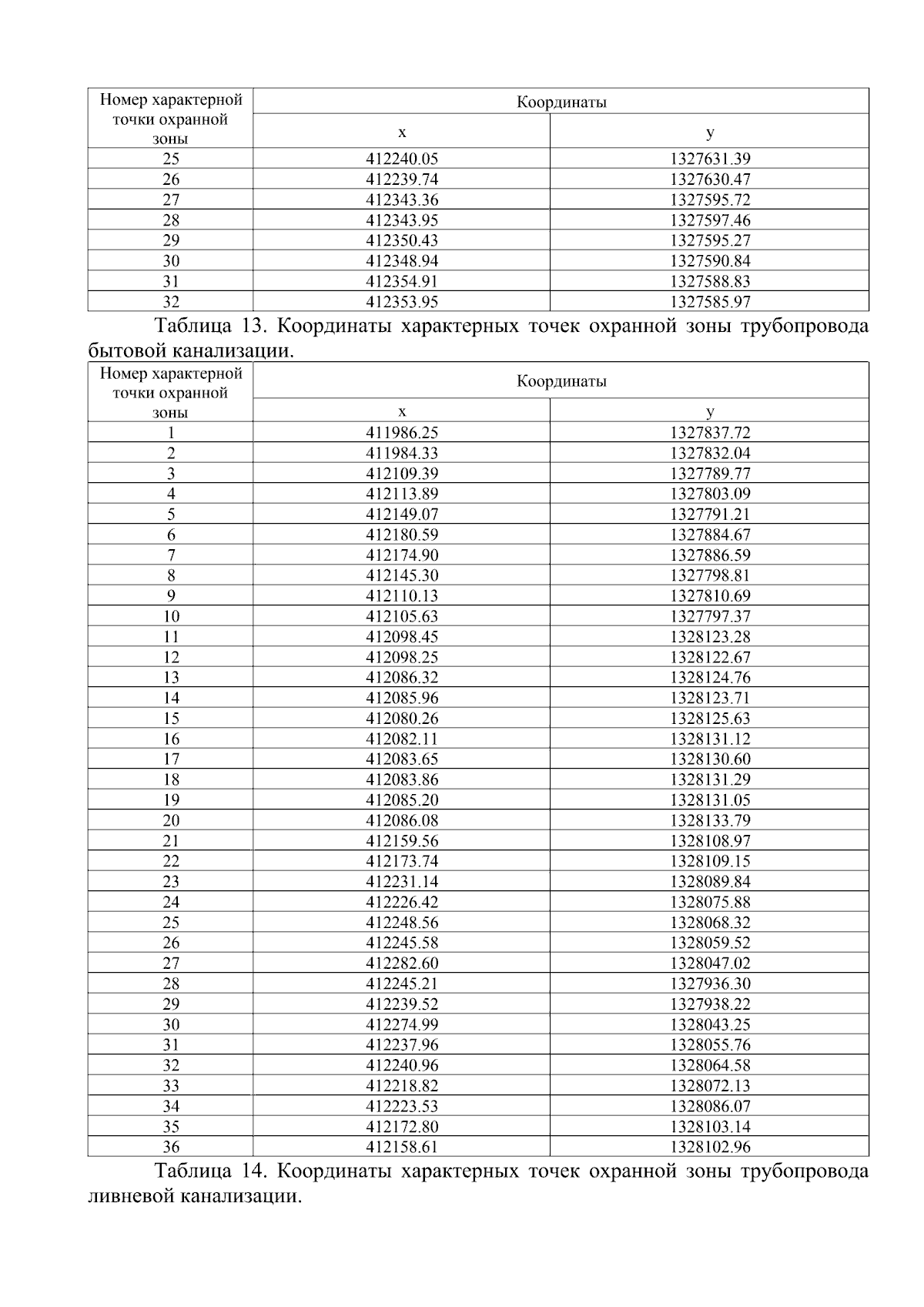
Приказ министерства строительства и архитектуры Липецкой области от 22.09.2025 № 419 "О внесении изменений в приказ управления строительства и архитектуры Липецкой области от 27.06.2022 № 222 "Об утверждении документации по планировке территории (проекта планировки и проекта межевания) линейного объекта: "ПАО "НЛМК". ЦХПП. Строительство сетей энергообеспечения комбината для перспективного расширения ЦХПП"
Номер опубликования: 4801202509260001
Дата опубликования: 26.09.2025
Страница №23 из 40:
Увеличить