Официальное опубликование правовых актов
ОФИЦИАЛЬНОЕ ОПУБЛИКОВАНИЕ
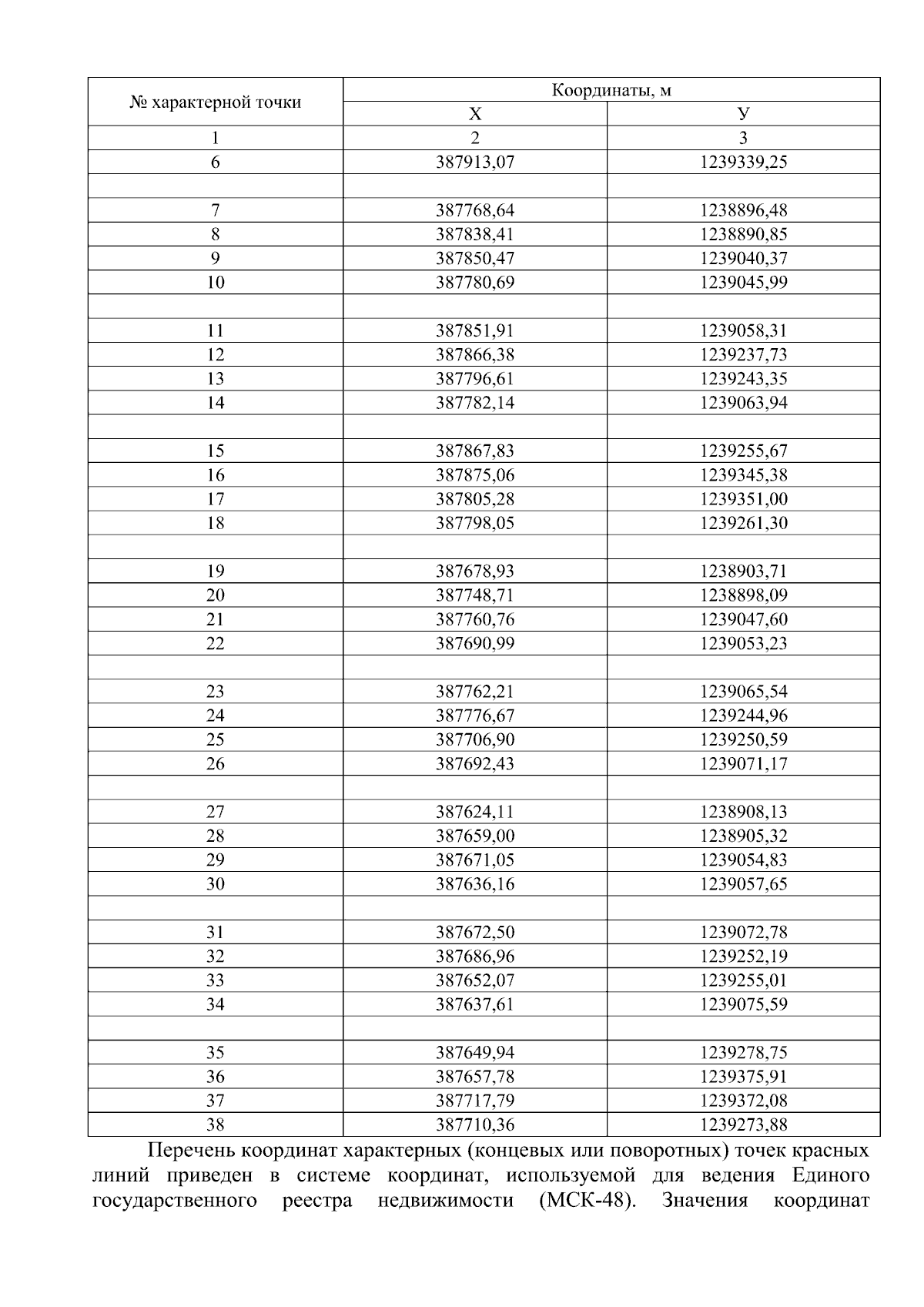
Приказ министерства строительства и архитектуры Липецкой области от 22.09.2025 № 418 "Об утверждении документации по планировке территории (проект планировки территории, проект межевания территории в составе проекта планировки территории) в селе Долгоруково сельского поселения Долгоруковский сельсовет Долгоруковского муниципального района, в части кадастрового квартала 48:06:1641001"
Номер опубликования: 4801202509260005
Дата опубликования: 26.09.2025
Страница №45 из 48:
Увеличить