Официальное опубликование правовых актов
ОФИЦИАЛЬНОЕ ОПУБЛИКОВАНИЕ
Приказ министерства строительства и архитектуры Липецкой области от 28.10.2025 № 470
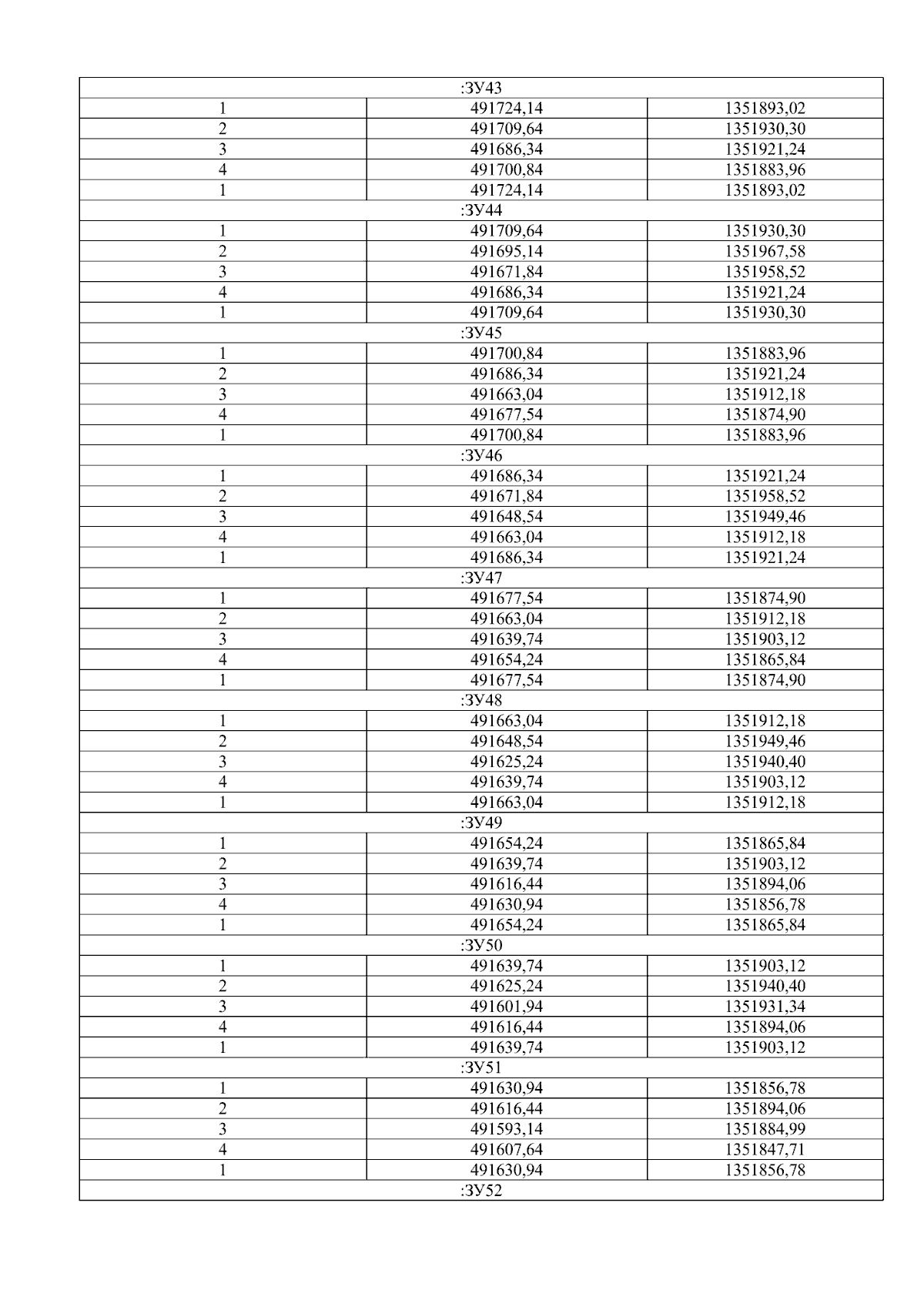
"Об утверждении документации по планировке территории (проект планировки территории, проект межевания территории в составе проекта планировки территории) в районе улицы Садовая в пос. Рощинский сельского поселения Шишкинский сельсовет Чаплыгинского муниципального района"
Номер опубликования: 4801202510290002
Дата опубликования: 29.10.2025
Страница №39 из 51:
Увеличить