Официальное опубликование правовых актов
ОФИЦИАЛЬНОЕ ОПУБЛИКОВАНИЕ
Приказ министерства имущественных и земельных отношений Липецкой области от 26.11.2025 № 48-Н
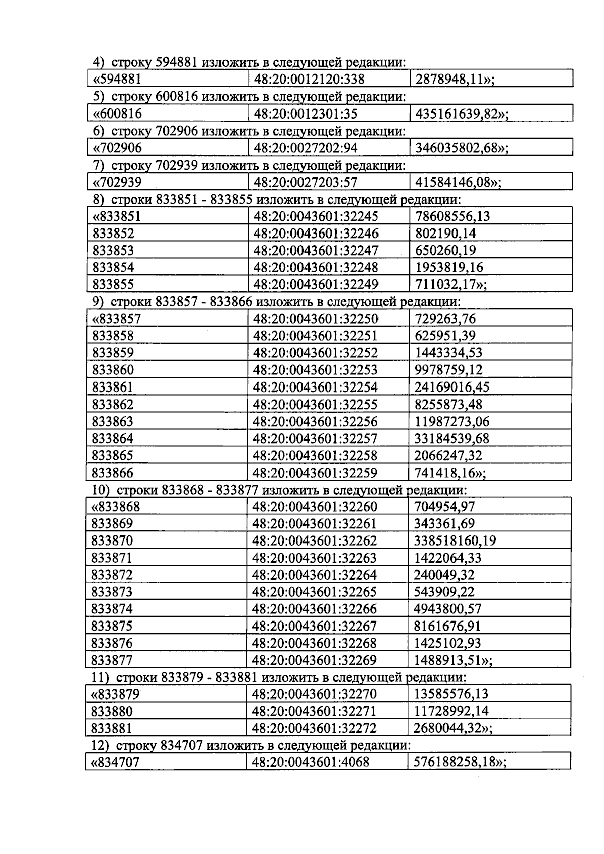
"О внесении изменений в приказ управления имущественных и земельных отношений Липецкой области от 8 ноября 2023 года № 28-Н "Об утверждении результатов определения кадастровой стоимости зданий, помещений, сооружений, объектов незавершенного строительства, машино-мест на территории Липецкой области"
(Зарегистрирован 27.11.2025 № ГР-238)
Номер опубликования: 4801202511280004
Дата опубликования: 28.11.2025
Страница №2 из 3:
Увеличить