Официальное опубликование правовых актов
ОФИЦИАЛЬНОЕ ОПУБЛИКОВАНИЕ
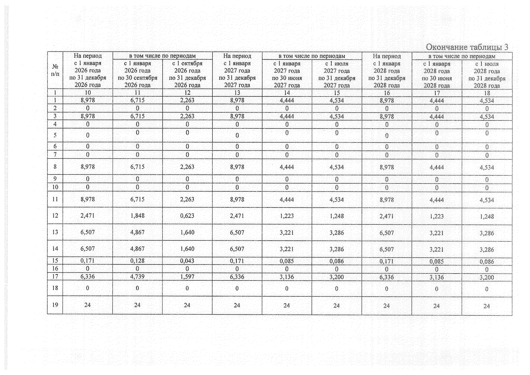
Постановление министерства энергетики и тарифов Липецкой области от 11.12.2025 № 48/3
"О внесении изменений в постановление управления энергетики и тарифов Липецкой области от 13 декабря 2023 года № 63/4 "О тарифах на питьевую воду и долгосрочных параметрах регулирования ООО "Липецкий опытно-экспериментальный завод "Гидромаш" (ООО ЛОЭЗ "Гидромаш") (ИНН 4826120443) на 2024-2028 годы"
(Зарегистрирован 11.12.2025 № ГР-293)
Номер опубликования: 4801202512120007
Дата опубликования: 12.12.2025
Страница №5 из 10:
Увеличить