Официальное опубликование правовых актов
ОФИЦИАЛЬНОЕ ОПУБЛИКОВАНИЕ
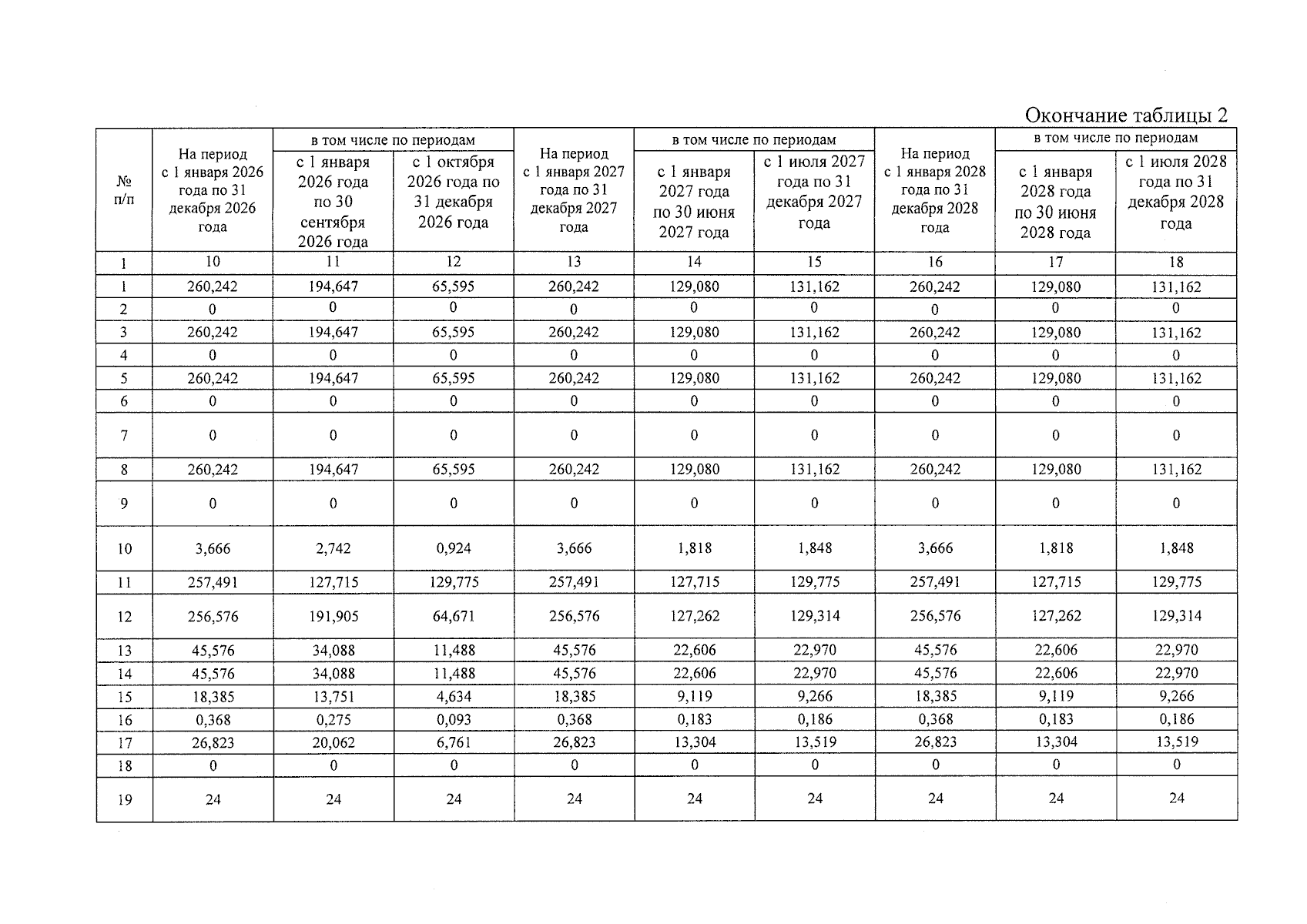
Постановление министерства энергетики и тарифов Липецкой области от 11.12.2025 № 48/12 "О внесении изменений в постановление управления энергетики и тарифов Липецкой области от 11 декабря 2023 года № 61/11 "О тарифах на питьевую воду и долгосрочных параметрах регулирования Государственного учреждения здравоохранения "Липецкая областная психиатрическая больница" (ИНН 4802002585) на 2024-2028 годы"
(Зарегистрирован 12.12.2025 № ГР-302)
Номер опубликования: 4801202512150008
Дата опубликования: 15.12.2025
Страница №5 из 10:
Увеличить