Официальное опубликование правовых актов
ОФИЦИАЛЬНОЕ ОПУБЛИКОВАНИЕ
Постановление министерства энергетики и тарифов Липецкой области от 15.12.2025 № 50/8
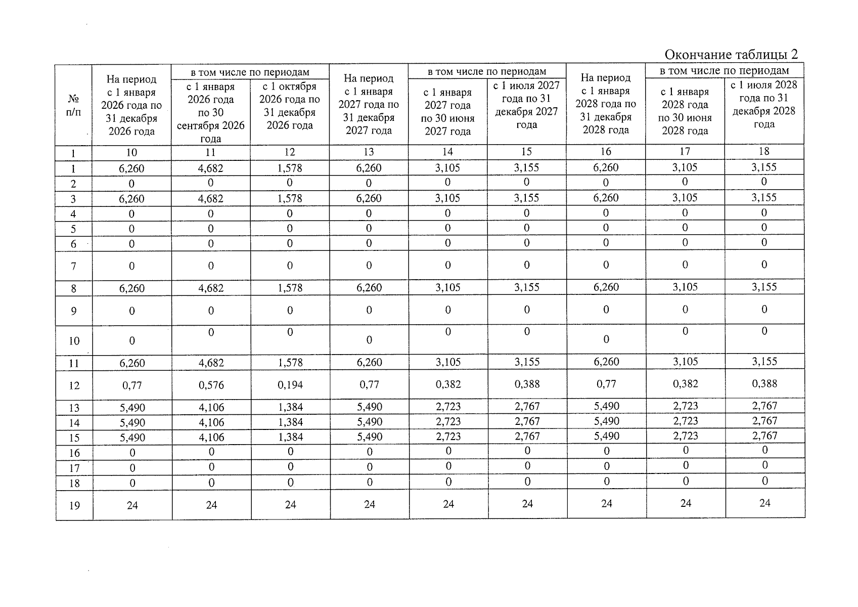
"О внесении изменений в постановление управления энергетики и тарифов Липецкой области от 11 декабря 2023 года № 61/10 "О тарифах на питьевую воду и долгосрочных параметрах регулирования МУП "Липецктеплосеть" (ИНН 4826001982) на 2024-2028 годы"
(Зарегистрирован 15.12.2025 № ГР-330)
Номер опубликования: 4801202512160007
Дата опубликования: 16.12.2025
Страница №5 из 10:
Увеличить