Официальное опубликование правовых актов
ОФИЦИАЛЬНОЕ ОПУБЛИКОВАНИЕ
Постановление министерства энергетики и тарифов Липецкой области от 17.12.2025 № 52/18
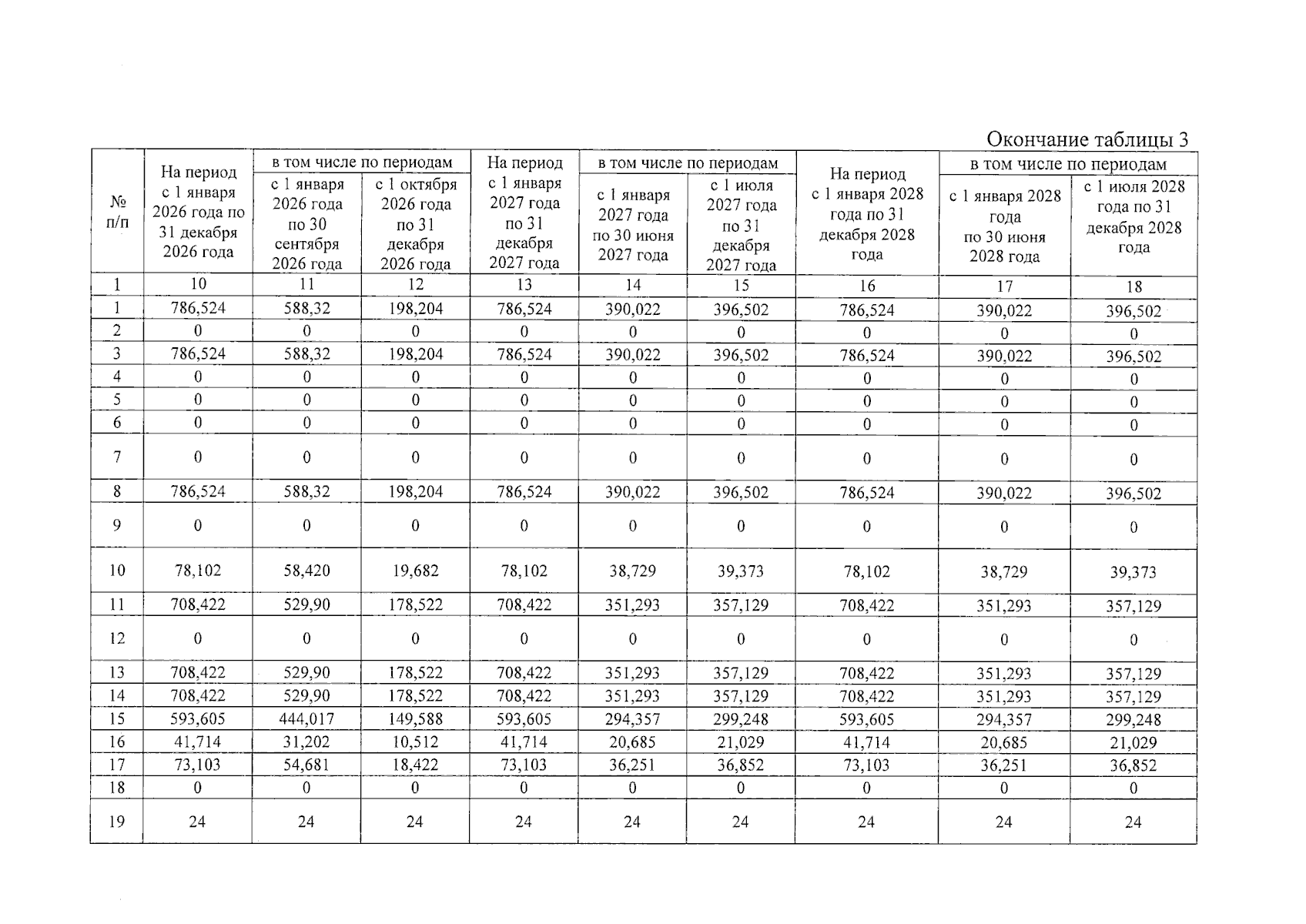
"О внесении изменений в постановление управления энергетики и тарифов Липецкой области от 14 декабря 2023 года № 64/8 "О тарифах на питьевую воду и долгосрочных параметрах регулирования МУП "Чаплыгинский водоканал" (ИНН 4818009353) на 2024-2028 годы"
(Зарегистрирован 18.12.2025 № ГР-413)
Номер опубликования: 4801202512180011
Дата опубликования: 18.12.2025
Страница №5 из 10:
Увеличить