Официальное опубликование правовых актов
ОФИЦИАЛЬНОЕ ОПУБЛИКОВАНИЕ
Постановление министерства энергетики и тарифов Липецкой области от 17.12.2025 № 52/8
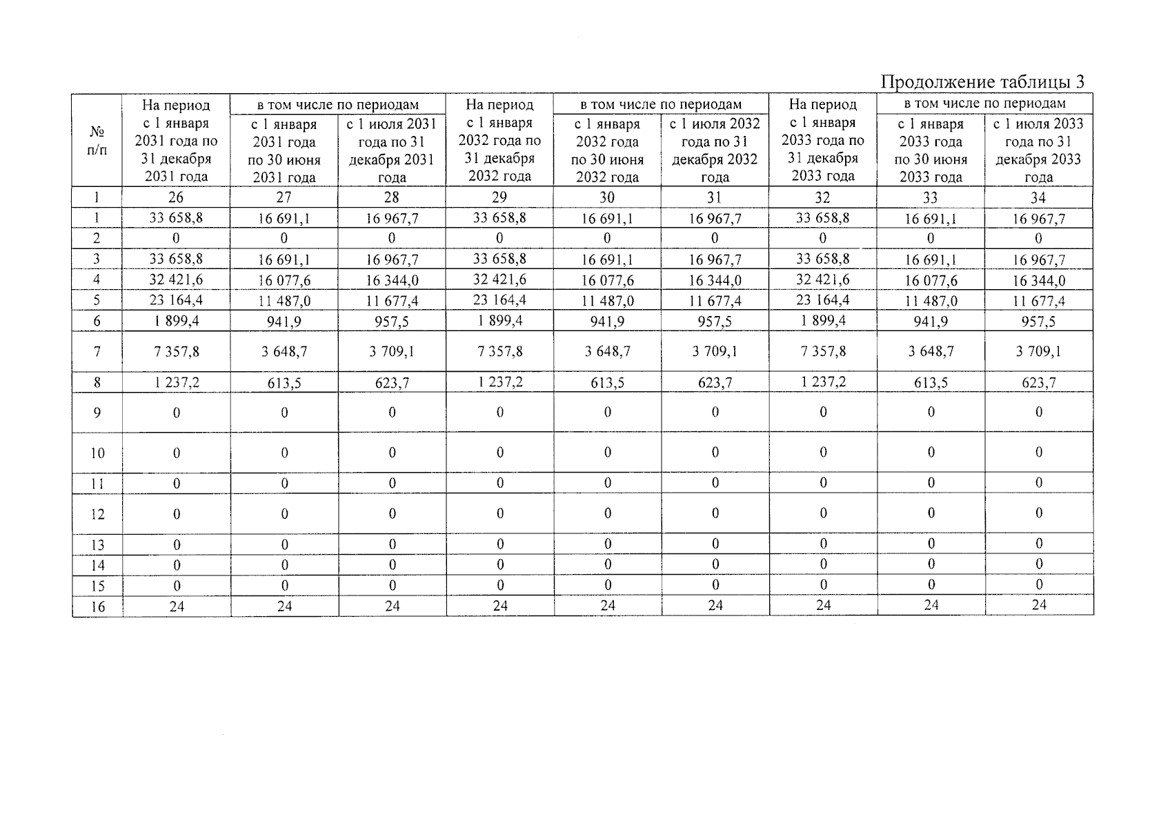
"О внесении изменений в постановление управления энергетики и тарифов Липецкой области от 27 июня 2023 года № 25/2 "О тарифах на водоотведение и долгосрочных параметрах регулирования ООО "РВК-Липецк" (ИНН 7730263904) на период с 1 июля 2023 года по 31 декабря 2048 года"
(Зарегистрирован 18.12.2025 № ГР-401)
Номер опубликования: 4801202512180022
Дата опубликования: 18.12.2025
Страница №22 из 45:
Увеличить