Официальное опубликование правовых актов
ОФИЦИАЛЬНОЕ ОПУБЛИКОВАНИЕ
Постановление министерства энергетики и тарифов Липецкой области от 17.12.2025 № 52/6
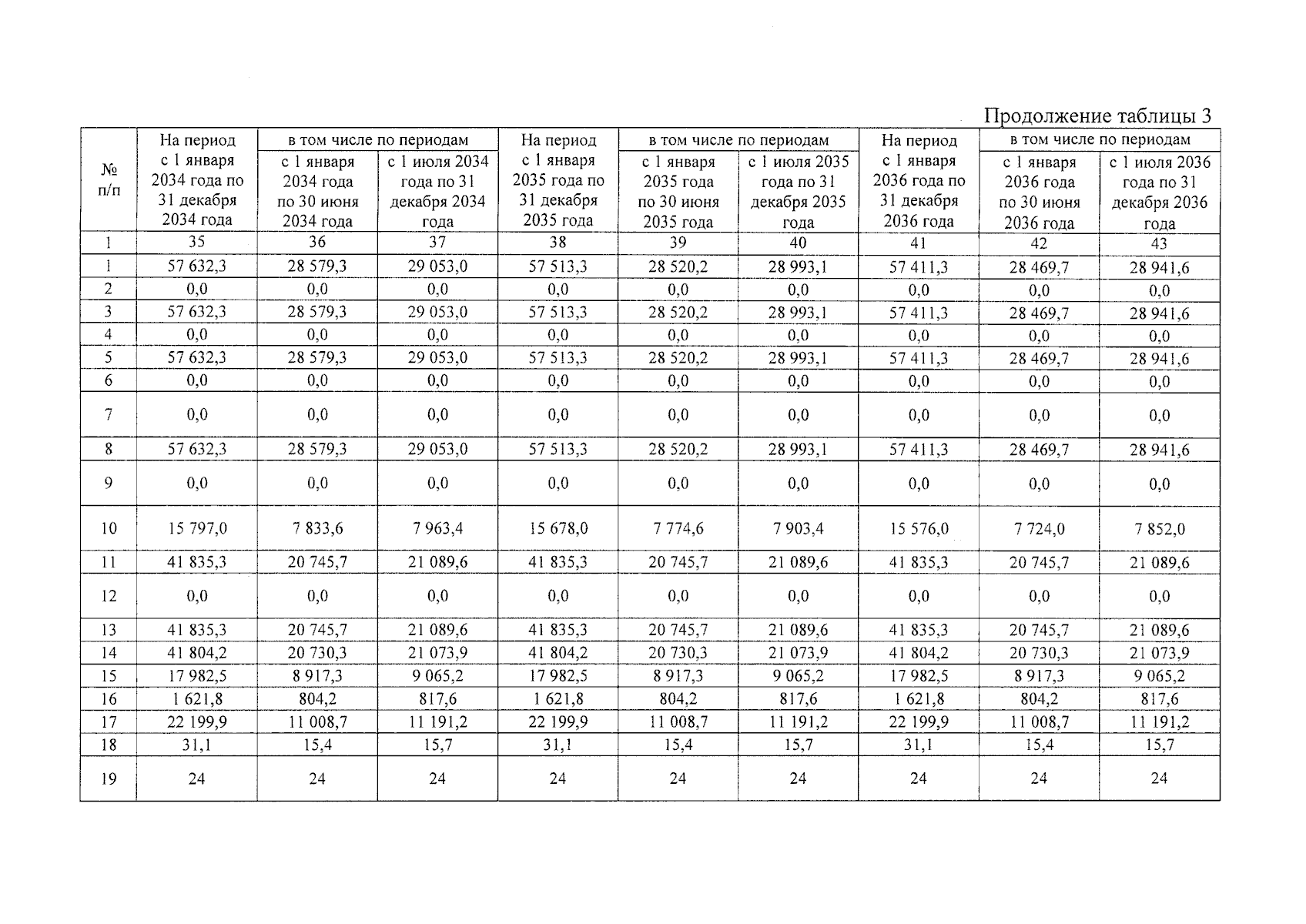
"О внесении изменений в постановление управления энергетики и тарифов Липецкой области от 24 ноября 2022 года № 53/14 "О тарифах на питьевую воду, поставляемую ООО "РВК-Липецк" (ИНН 7730263904), и долгосрочных параметрах регулирования на период с 1 января 2023 года по 31 декабря 2042 года и о введении их в действие с 1 декабря 2022 года"
(Зарегистрирован 18.12.2025 № ГР-399)
Номер опубликования: 4801202512180023
Дата опубликования: 18.12.2025
Страница №28 из 45:
Увеличить