Официальное опубликование правовых актов
ОФИЦИАЛЬНОЕ ОПУБЛИКОВАНИЕ
Постановление министерства энергетики и тарифов Липецкой области от 26.12.2025 № 54/11
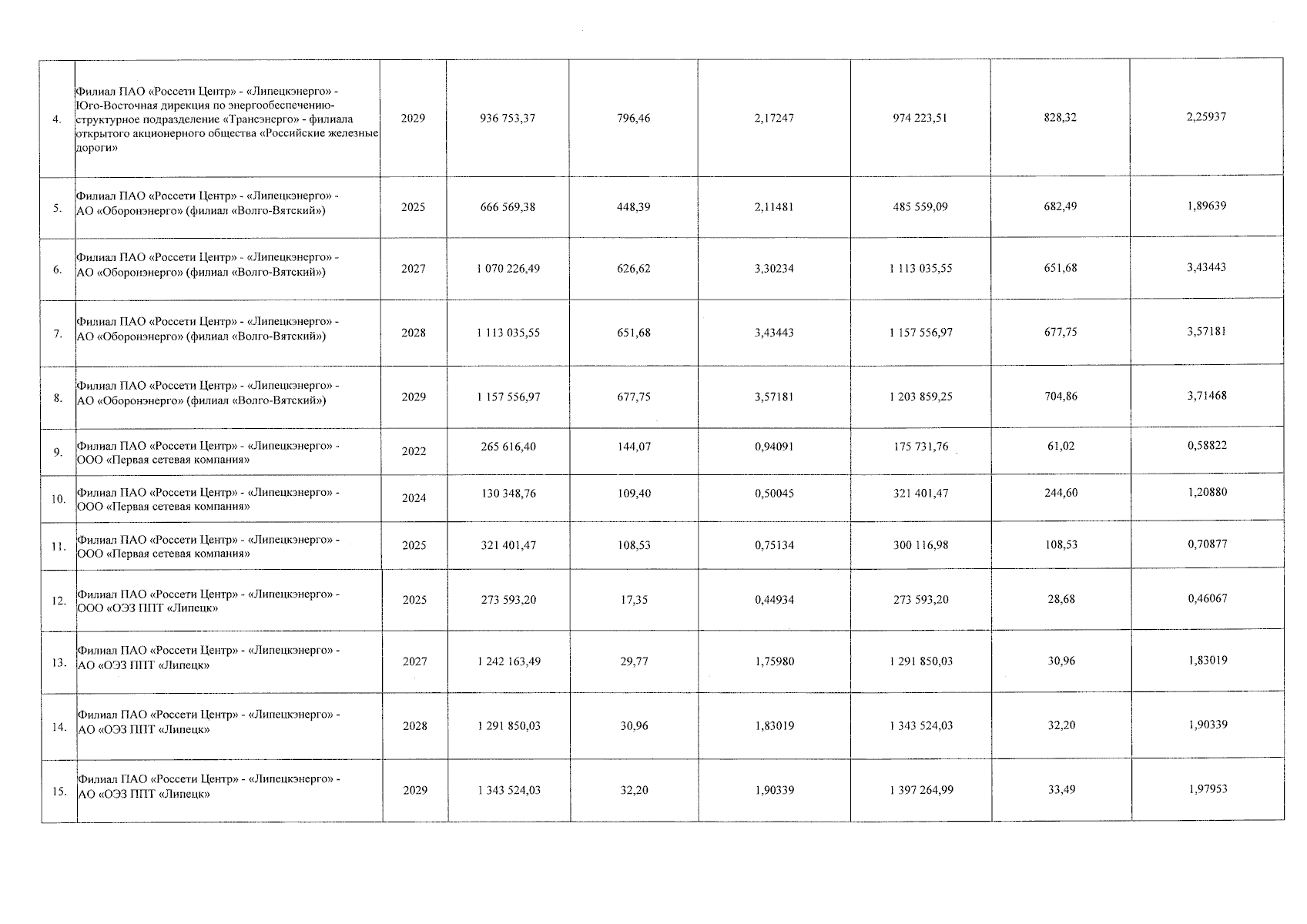
"О внесении изменений в постановление управления энергетики и тарифов Липецкой области от 29 ноября 2024 года № 57/5 "О единых (котловых) тарифах на услуги по передаче электрической энергии на территории Липецкой области на 2025 -2029 годы"
(Зарегистрирован 29.12.2025 № ГР-491)
Номер опубликования: 4801202512300016
Дата опубликования: 30.12.2025
Страница №5 из 7:
Увеличить