Официальное опубликование правовых актов
ОФИЦИАЛЬНОЕ ОПУБЛИКОВАНИЕ
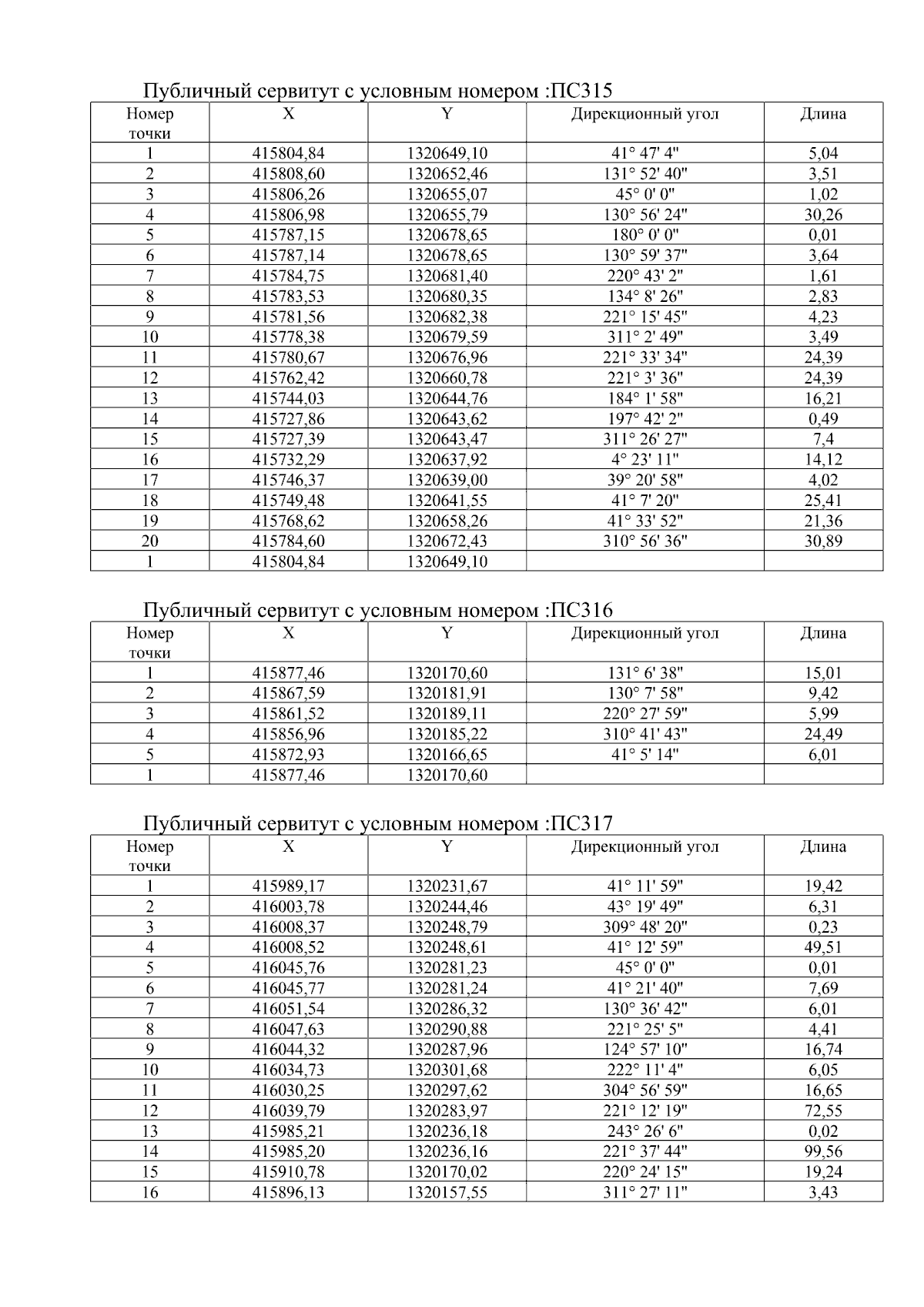
Приказ министерства строительства и архитектуры Липецкой области от 30.03.2026 № 66
"Об утверждении документации по планировке территории (проект планировки территории, проект межевания территории в составе проекта планировки территории), ограниченной улицами Катукова, А.Г. Стаханова, Героя России Эдуарда Белана, им. Генерала Меркулова в городе Липецке"
Номер опубликования: 4801202604030002
Дата опубликования: 03.04.2026
Страница №241 из 271:
Увеличить