Официальное опубликование правовых актов
ОФИЦИАЛЬНОЕ ОПУБЛИКОВАНИЕ
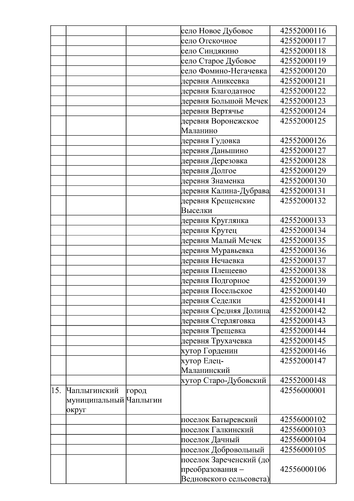
Приказ министерства сельского хозяйства Липецкой области от 03.04.2026 № 15-н
"Об утверждении перечней сельских агломераций на территории Липецкой области"
Номер опубликования: 4801202604090012
Дата опубликования: 09.04.2026
Страница №37 из 40:
Увеличить