Официальное опубликование правовых актов
ОФИЦИАЛЬНОЕ ОПУБЛИКОВАНИЕ
Постановление губернатора Магаданской области от 30.06.2015 № 117-п
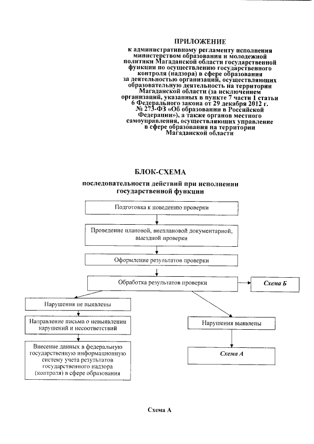
"Об утверждении административного регламента исполнения министерством образования и молодежной политики Магаданской области государственной функции по осуществлению государственного контроля (надзора) в сфере образования за деятельностью организаций, осуществляющих образовательную деятельность на территории Магаданской области (за исключением организаций, указанных в пункте 7 части 1 статьи 6 Федерального закона от 29 декабря 2012 г. № 273-ФЗ "Об образовании в Российской Федерации"), а также органов местного самоуправления, осуществляющих управление в сфере образования на территории Магаданской области"
Номер опубликования: 4900201507020002
Дата опубликования: 02.07.2015
Страница №54 из 56:
Увеличить