Официальное опубликование правовых актов
ОФИЦИАЛЬНОЕ ОПУБЛИКОВАНИЕ
Постановление Правительства Магаданской области от 26.09.2025 № 477-пп
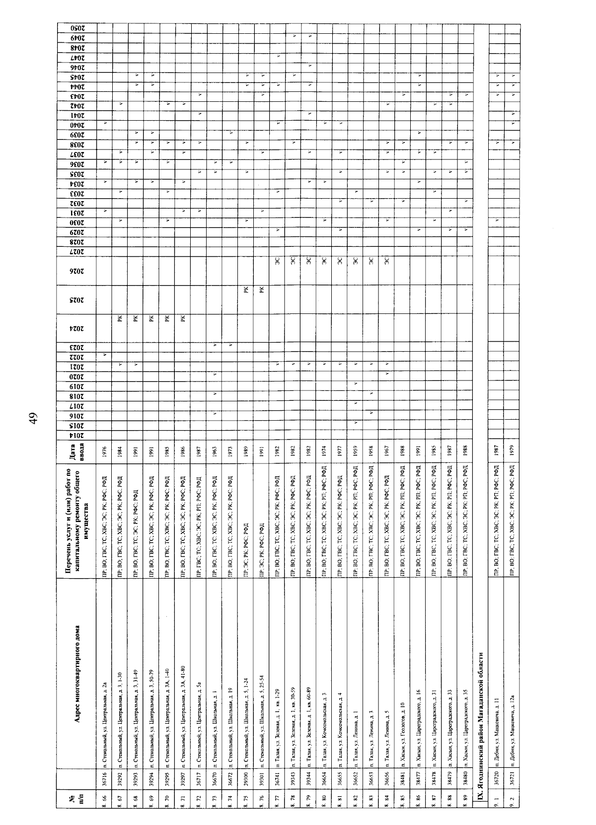
"О внесении изменения в постановление Правительства Магаданской области от 29 мая 2014 г. № 455-пп "Об утверждении региональной программы "Капитальный ремонт общего имущества многоквартирных домов, расположенных на территории Магаданской области" на период по 2050 год"
Номер опубликования: 4900202509300004
Дата опубликования: 30.09.2025
Страница №50 из 54:
Увеличить