Официальное опубликование правовых актов
ОФИЦИАЛЬНОЕ ОПУБЛИКОВАНИЕ
Постановление Правительства Московской области от 01.09.2021 № 787/29
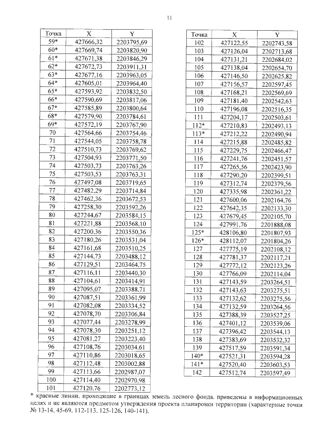
"Об утверждении проекта планировки территории для строительства участка автомобильной дороги регионального значения "Подольск - Домодедово - Раменское - ЦКАД" - Каширское шоссе вблизи села Битягово городского округа Домодедово Московской области"
Номер опубликования: 5000202109060003
Дата опубликования: 06.09.2021
Страница №13 из 35:
Увеличить