Официальное опубликование правовых актов
ОФИЦИАЛЬНОЕ ОПУБЛИКОВАНИЕ
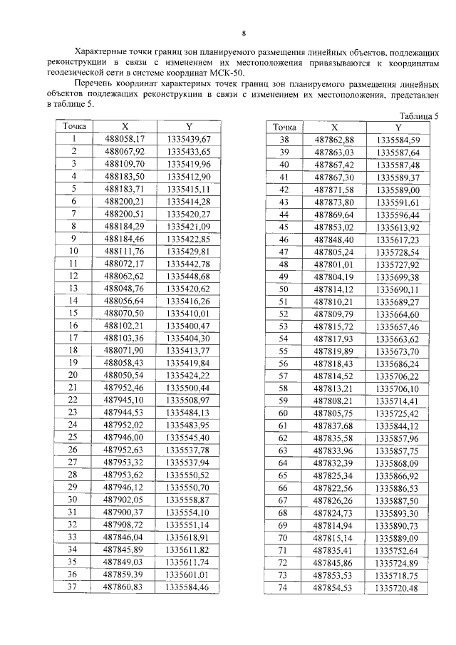
Постановление Правительства Московской области от 13.09.2021 № 832/30
"Об утверждении документации по планировке территории для реконструкции пересечения автомобильных дорог "Волоколамское шоссе" и "Волоколамское шоссе – Бужарово – Савельево – Румянцево" с помощью направленного съезда в г. Истра Московской области"
Номер опубликования: 5000202109130009
Дата опубликования: 13.09.2021
Страница №10 из 49:
Увеличить