Официальное опубликование правовых актов
ОФИЦИАЛЬНОЕ ОПУБЛИКОВАНИЕ
Постановление Правительства Московской области от 30.09.2021 № 956/33
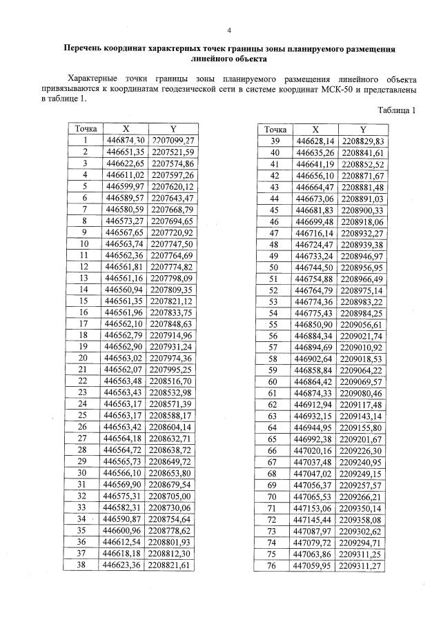
"Об утверждении документации по планировке территории для размещения линии рельсового скоростного пассажирского транспорта Молоково – Видное на участке от подъезда к СНТ "Мисайлово" до пересечения с Володарским шоссе в Ленинском городском округе Московской области"
Номер опубликования: 5000202109300009
Дата опубликования: 30.09.2021
Страница №6 из 53:
Увеличить